Estimate Time-Varying State-Space Model
This example shows how to create and estimate a state-space model containing time-varying parameters.
Suppose that an AR(2) and an MA(1) model comprise a latent process. There are 50 periods, and the MA(1) process drops out of the model for the final 25 periods. The state equation for the first 25 periods is

For the last 25 periods, the state equation is

where
and
are Gaussian with mean 0 and standard deviation 1.
Generate a random series of 50 observations from
and
, assuming that the series starts at 1.5 and 1, respectively.
T = 50; ARMdl = arima('AR',{0.7,-0.2},'Constant',0,'Variance',1); MAMdl = arima('MA',0.6,'Constant',0,'Variance',1); x0 = [1.5 1; 1.5 1]; rng(1); x = [simulate(ARMdl,T,'Y0',x0(:,1)),... [simulate(MAMdl,T/2,'Y0',x0(:,2));nan(T/2,1)]];
The last 25 values for the simulated MA(1) data are missing.
Suppose further that the latent processes are measured using

for the first 25 periods, and

for the last 25 periods.
is Gaussian with mean 0 and standard deviation 1.
Generate observations using the random latent state process (x) and the observation equation.
y = 2*sum(x','omitnan')'+randn(T,1);
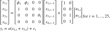
Together, the latent process and observation equations compose a state-space model. Supposing that the coefficients are unknown parameters, the state-space model is
![$$\begin{array}{l} \left[ {\begin{array}{*{20}{c}} {{x_{1,t}}}\\ {{x_{2,t}}}\\ {{x_{3,t}}}\\ {{x_{4,t}}} \end{array}} \right] = \left[ {\begin{array}{*{20}{c}} {{\phi _1}}&{{\phi _2}}&0&0\\ 1&0&0&0\\ 0&0&0&{{\theta _1}}\\ 0&0&0&0 \end{array}} \right]\left[ {\begin{array}{*{20}{c}} {{x_{1,t - 1}}}\\ {{x_{2,t - 1}}}\\ {{x_{3,t - 1}}}\\ {{x_{4,t - 1}}} \end{array}} \right] + \left[ {\begin{array}{*{20}{c}} 1&0\\ 0&0\\ 0&1\\ 0&1 \end{array}} \right]\left[ {\begin{array}{*{20}{c}} {{u_{1,t}}}\\ {{u_{2,t}}} \end{array}} \right]\\ {y_t} = a({x_{1,t}} + {x_{3,t}}) + {\varepsilon _t} \end{array}{\rm for\;}t = 1,...,25,$$](../examples/econ/win64/EstimateTimeVaryingStateSpaceModelExample_eq08854103917654647420.png)
![$$\begin{array}{l} \left[ {\begin{array}{*{20}{c}} {{x_{1,t}}}\\ {{x_{2,t}}} \end{array}} \right] = \left[ {\begin{array}{*{20}{c}} {{\phi _1}}&{{\phi _2}}&0&0\\ 1&0&0&0 \end{array}} \right]\left[ {\begin{array}{*{20}{c}} {{x_{1,t - 1}}}\\ {{x_{2,t - 1}}}\\ {{x_{3,t - 1}}}\\ {{x_{4,t - 1}}} \end{array}} \right] + \left[ {\begin{array}{*{20}{c}} 1\\ 0 \end{array}} \right]{u_{1,t}}\\ {y_t} = b{x_{1,t}} + {\varepsilon _t} \end{array}{\rm for\;}t = 26,$$](../examples/econ/win64/EstimateTimeVaryingStateSpaceModelExample_eq02137157935047400938.png)
![$$\begin{array}{l} \left[ {\begin{array}{*{20}{c}} {{x_{1,t}}}\\ {{x_{2,t}}} \end{array}} \right] = \left[ {\begin{array}{*{20}{c}} {{\phi _1}}&{{\phi _2}}\\ 1&0 \end{array}} \right]\left[ {\begin{array}{*{20}{c}} {{x_{1,t - 1}}}\\ {{x_{2,t - 1}}} \end{array}} \right] + \left[ {\begin{array}{*{20}{c}} 1\\ 0 \end{array}} \right]{u_{1,t}}\\ {y_t} = b{x_{1,t}} + {\varepsilon _t} \end{array}{\rm for\;}t = 27,...,50$$](../examples/econ/win64/EstimateTimeVaryingStateSpaceModelExample_eq04013217853404469478.png)
Write a function that specifies how the parameters in params map to the state-space model matrices, the initial state values, and the type of state.
% Copyright 2015 The MathWorks, Inc. function [A,B,C,D,Mean0,Cov0,StateType] = AR2MAParamMap(params,T) %AR2MAParamMap Time-variant state-space model parameter mapping function % % This function maps the vector params to the state-space matrices (A, B, % C, and D), the initial state value and the initial state variance (Mean0 % and Cov0), and the type of state (StateType). From periods 1 to T/2, the % state model is an AR(2) and an MA(1) model, and the observation model is % the sum of the two states. From periods T/2 + 1 to T, the state model is % just the AR(2) model. A1 = {[params(1) params(2) 0 0; 1 0 0 0; 0 0 0 params(3); 0 0 0 0]}; B1 = {[1 0; 0 0; 0 1; 0 1]}; C1 = {params(4)*[1 0 1 0]}; Mean0 = ones(4,1); Cov0 = 10*eye(4); StateType = [0 0 0 0]; A2 = {[params(1) params(2) 0 0; 1 0 0 0]}; B2 = {[1; 0]}; A3 = {[params(1) params(2); 1 0]}; B3 = {[1; 0]}; C3 = {params(5)*[1 0]}; A = [repmat(A1,T/2,1);A2;repmat(A3,(T-2)/2,1)]; B = [repmat(B1,T/2,1);B2;repmat(B3,(T-2)/2,1)]; C = [repmat(C1,T/2,1);repmat(C3,T/2,1)]; D = 1; end
Save this code in a file named AR2MAParamMap and put it in your MATLAB® path.
Create the state-space model by passing the function AR2MAParamMap as a function handle to ssm.
Mdl = ssm(@(params)AR2MAParamMap(params,T));
ssm implicitly defines the state-space model. Usually, you cannot verify implicitly defined state-space models.
Pass the observed responses (y) to estimate to estimate the parameters. Specify positive initial values for the unknown parameters.
params0 = 0.1*ones(5,1); EstMdl = estimate(Mdl,y,params0)
Method: Maximum likelihood (fminunc)
Sample size: 50
Logarithmic likelihood: -114.957
Akaike info criterion: 239.913
Bayesian info criterion: 249.473
| Coeff Std Err t Stat Prob
---------------------------------------------------
c(1) | 0.47870 0.26634 1.79733 0.07229
c(2) | 0.00809 0.27179 0.02975 0.97626
c(3) | 0.55735 0.80958 0.68844 0.49118
c(4) | 1.62679 0.41622 3.90848 0.00009
c(5) | 1.90021 0.49563 3.83391 0.00013
|
| Final State Std Dev t Stat Prob
x(1) | -0.81229 0.46815 -1.73511 0.08272
x(2) | -0.31449 0.45918 -0.68490 0.49341
EstMdl =
State-space model type: <a href="matlab: doc ssm">ssm</a>
State vector length: Time-varying
Observation vector length: 1
State disturbance vector length: Time-varying
Observation innovation vector length: 1
Sample size supported by model: 50
State variables: x1, x2,...
State disturbances: u1, u2,...
Observation series: y1, y2,...
Observation innovations: e1, e2,...
State equations of period 1, 2, 3,..., 25:
x1(t) = (0.48)x1(t-1) + (8.09e-03)x2(t-1) + u1(t)
x2(t) = x1(t-1)
x3(t) = (0.56)x4(t-1) + u2(t)
x4(t) = u2(t)
State equations of period 26:
x1(t) = (0.48)x1(t-1) + (8.09e-03)x2(t-1) + u1(t)
x2(t) = x1(t-1)
State equations of period 27, 28, 29,..., 50:
x1(t) = (0.48)x1(t-1) + (8.09e-03)x2(t-1) + u1(t)
x2(t) = x1(t-1)
Observation equation of period 1, 2, 3,..., 25:
y1(t) = (1.63)x1(t) + (1.63)x3(t) + e1(t)
Observation equation of period 26, 27, 28,..., 50:
y1(t) = (1.90)x1(t) + e1(t)
Initial state distribution:
Initial state means
x1 x2 x3 x4
1 1 1 1
Initial state covariance matrix
x1 x2 x3 x4
x1 10 0 0 0
x2 0 10 0 0
x3 0 0 10 0
x4 0 0 0 10
State types
x1 x2 x3 x4
Stationary Stationary Stationary Stationary
The estimated parameters are within 1 standard error of their true values, but the standard errors are quite high. Likelihood surfaces of state-space models might contain local maxima. Therefore, it is good practice to try several initial parameter values, or consider using refine.
See Also
ssm | estimate | forecast | simulate | refine