Design Broadband Matching Networks for Amplifier
This example shows how to design broadband matching networks for a low noise amplifier (LNA) with ideal and real-world lumped LC elements. The real-world lumped LC elements are obtained from the Modelithics SELECT+ Library™. The LNA is designed to the target gain and noise figure specifications over a specified bandwidth. A direct-search based approach is used to arrive at the optimum element values in the input and output matching networks.
In an RF receiver front end, the LNA is commonly found immediately after the antenna or after the first bandpass filter that follows the antenna. Its position in the receiver chain ensures that it deals with weak signals that have significant noise content. As a result the LNA has to not only provide amplification to such signals but also minimize its own noise footprint on the amplified signal. This is depicted in figure 1.
Figure 1: Impedance matching of an amplifier
Set Design Parameters
The design specifications are as follows.
Amplifier is an LNA amplifier
Center Frequency = 250 MHz
Bandwidth = 100 MHz
Transducer Gain greater than or equal to 10 dB
Noise Figure less than or equal to 2.0 dB
Operating between 50-Ohm terminations
Specify Design Parameters
You are building the matching network for an LNA with a bandpass response, so specify the bandwidth of match, center frequency, gain, and noise figure targets.
BW = 100e6; % Bandwidth of matching network (Hz) fc = 250e6; % Center frequency (Hz) Gt_target = 10; % Transducer gain target (dB) NFtarget = 2; % Max noise figure target (dB)
Specify the source impedance, reference impedance, and the load impedance.
Zs = 50; % Source impedance (Ohm) Z0 = 50; % Reference impedance (Ohm) Zl = 50; % Load impedance (Ohm)
Create Amplifier Object and Perform Analysis
Create an amplifier object from lnadata.s2p.
Mismatched_Amp = amplifier(FileName='lnadata.s2p');Define the number of frequency points to use for analysis and set up the frequency vector.
Npts = 32; % No. of analysis frequency points fLower = fc - (BW/2); % Lower band edge fUpper = fc + (BW/2); % Upper band edge freq = linspace(fLower,fUpper,Npts); % Frequency array for analysis
Perform frequency domain analysis on the mismatched amplifier.
sparam = sparameters(Mismatched_Amp,freq);
bMismatched = rfbudget(Mismatched_Amp,freq',-30,BW);
[K,~,~,Delta] = stabilityk(sparam);
Ga = powergain(sparam,'Ga');Examine Stability, Power Gain, and Noise Figure
Plot the LNA stability parameters and examine stability, power gain and noise figure.
figure plot(freq*1e-6,abs(Delta)) hold on plot(freq*1e-6,K) legend('Delta','K','Location','best') title('Device stability parameters') xlabel('Frequency [MHz]') ylabel('Magnitude') grid on hold off
![Figure contains an axes object. The axes object with title Device stability parameters, xlabel Frequency [MHz], ylabel Magnitude contains 2 objects of type line. These objects represent Delta, K.](../../examples/rf/win64/DesigningBroadbandMatchingNetworksPart2AmplifierExample_02.png)
As the plot shows, and for all frequencies in the bandwidth of interest. This means that the device is unconditionally stable. It is also important to view the power gain and noise figure behavior across the same bandwidth. Together with the stability information this data allows you to determine if the gain and noise figure targets can be met.
figure plot(freq*1e-6,10*log10(Ga)) hold on plot(freq*1e-6,bMismatched.TransducerGain) legend('Ga','Gt','Location','east') xlabel('Frequency [MHz]') ylabel('Magnitude [dB]') hold off grid on
![Figure contains an axes object. The axes object with xlabel Frequency [MHz], ylabel Magnitude [dB] contains 2 objects of type line. These objects represent Ga, Gt.](../../examples/rf/win64/DesigningBroadbandMatchingNetworksPart2AmplifierExample_03.png)
This plot, shows the power gain across the 100-MHz bandwidth. It indicates that the transducer gain varies linearly between 5.5 dB to about 3.1 dB and achieves only 4.3 dB at band center. It also suggests there is sufficient headroom between the transducer gain Gt and the available gain Ga to achieve our target Gt of 10 dB.
figure plot(Mismatched_Amp.NoiseData.Frequencies*1e-6,Mismatched_Amp.NoiseData.Fmin) hold on plot(freq*1e-6,bMismatched.NF) hold off axis([200 300 0 2]) legend('Fmin','NF','Location','NorthEast') xlabel('Frequency [MHz]') ylabel('Magnitude [dB]') grid on
![Figure contains an axes object. The axes object with xlabel Frequency [MHz], ylabel Magnitude [dB] contains 2 objects of type line. These objects represent Fmin, NF.](../../examples/rf/win64/DesigningBroadbandMatchingNetworksPart2AmplifierExample_04.png)
This plot shows the variation of the noise figure with frequency. The unmatched amplifier clearly meets the target noise figure requirement. However this would change once the input and output matching networks are included. Most likely, the noise figure of the LNA would exceed the requirement.
Design Input and Output Matching Networks
The region of operation is between 200 — 300 MHz. Therefore, choose a bandpass topology for the matching networks which is shown here.
Figure 2: Matching network topology
The topology chosen, as seen in Figure 2, is a direct-coupled prototype bandpass network of parallel resonator type with top coupling [2], that is initially tuned to the geometric mean frequency with respect to the bandwidth of operation.
N = 3; % Order of input/output matching network wU = 2*pi*fUpper; % Upper band edge wL = 2*pi*fLower; % Lower band edge w0 = sqrt(wL*wU); % Geometric mean
For the initial design all the inductors are assigned the same value on the basis of the first series inductor. As mentioned in [3], choose the prototype value to be unity and use standard impedance and frequency transformations to obtain denormalized values [1]. The value for the capacitor in the parallel trap is set using this inductor value to make it resonate at the geometric mean frequency. Note that there are many ways of designing the initial matching network. This example shows one possible approach.
LvaluesIn = (Zs/(wU-wL))*ones(N,1); % Series and shunt L's [H] CvaluesIn = 1 / ( (w0^2)*LvaluesIn(2)); % Shunt C [F] LvaluesOut = LvaluesIn; CvaluesOut = CvaluesIn;
Build Matching Networks
Build each branch of the matching network and then define the circuit as a two-port network. This example uses identical input and output matching networks.
InputMatchingNW = circuit; add(InputMatchingNW,[1 2],inductor(LvaluesIn(1))); add(InputMatchingNW,[2 0],inductor(LvaluesIn(2))); add(InputMatchingNW,[2 0],capacitor(CvaluesIn)); add(InputMatchingNW,[2 3],inductor(LvaluesIn(3))); setports(InputMatchingNW,[1 0],[3 0]); OutputMatchingNW = circuit; add(OutputMatchingNW,[1 2],inductor(LvaluesOut(1))); add(OutputMatchingNW,[2 0],inductor(LvaluesOut(2))); add(OutputMatchingNW,[2 0],capacitor(CvaluesOut)); add(OutputMatchingNW,[2 3],inductor(LvaluesOut(3))); setports(OutputMatchingNW,[1 0],[3 0]);
Optimize Input & Output Matching Network
There are several points to consider prior to the optimization.
Objective function: The objective function can be built in different ways depending on the problem at hand. For this example, the objective function is shown in the file below.
Choice of cost function: The cost function is the function you would like to minimize (maximize) to achieve near optimal performance. There could be several ways to choose the cost function. For this example you have two requirements to satisfy simultaneously, i.e. gain and noise figure. To create the cost function you first, find the difference, between the most current optimized network and the target value for each requirement at each frequency. The cost function is the L2-norm of the vector of gain and noise figure error values.
Optimization variables: In this case it is a vector of values, for the specific elements to optimize in the matching network.
Optimization method: A direct search based technique, the MATLAB® function
fminsearch, is used in this example to perform the optimization.Number of iterations/function evaluations: Set the maximum no. of iterations and function evaluations to perform, so as to tradeoff between speed and quality of match.
Tolerance value: Specify the variation in objective function value at which the optimization process should terminate.
The objective function used during the optimization process by fminsearch is shown here.
type('broadband_match_amplifier_objective_function.m')function output = broadband_match_amplifier_objective_function(AMP,inMNW,outMNW,LC_Optim,freq,Gt_target,NF)
%BROADBAND_MATCH_AMPLIFIER_OBJECTIVE_FUNCTION is the objective function.
% OUTPUT = BROADBAND_MATCH_AMPLIFIER_OBJECTIVE_FUNCTION(AMP,INMNW,OUTMNW,LC_OPTIM,FREQ,GT_TARGET,NF)
% returns the current value of the objective function stored in OUTPUT
% evaluated after updating the element values in the object, inMNW and
% outMNW. The inductor and capacitor values are stored in the variable
% LC_OPTIM.
%
% BROADBAND_MATCH_AMPLIFIER_OBJECTIVE_FUNCTION is an objective function of RF Toolbox demo:
% Designing Broadband Matching Networks (Part II: Amplifier)
% Copyright 2023 The MathWorks, Inc.
% Ensure positive element values
if any(LC_Optim<=0)
output = inf;
return;
end
% Update matching network elements - The object inMNW and outMNW have
% several properties among which the cell array 'Elements' consists of all
% LC elements in the circuit.
inMNW.Elements(1).Inductance = LC_Optim(1);
inMNW.Elements(2).Inductance = LC_Optim(2);
inMNW.Elements(4).Inductance = LC_Optim(3);
inMNW.Elements(3).Capacitance = LC_Optim(4);
outMNW.Elements(1).Inductance = LC_Optim(5);
outMNW.Elements(2).Inductance = LC_Optim(6);
outMNW.Elements(4).Inductance = LC_Optim(7);
outMNW.Elements(3).Capacitance = LC_Optim(8);
% Perform analysis on tuned matching network
Npts = length(freq);
BW = max(freq) - min(freq);
np1 = nport(sparameters(inMNW,freq));
np2 = nport(sparameters(outMNW,freq));
b = rfbudget([np1 clone(AMP) np2],freq',-30,BW);
% Calculate transducer power gains and noise figures of the amplifier
Gt = b.TransducerGain(:,end);
NF_amp = b.NF(:,end);
% Calculate target gain and noise figure error
errGt = (Gt - Gt_target);
errNF = (NF_amp - NF);
% Check to see if gain and noise figure target are achieved by specifying
% bounds for variation.
deltaG = 0.40;
deltaNF = -0.05;
errGt(abs(errGt)<=deltaG) = 0;
errNF(errNF<deltaNF) = 0;
% Cost function
err_vec = [errGt;errNF];
output = norm((err_vec),2);
% Animate
Gmax = (Gt_target + deltaG).*ones(1,Npts);
Gmin = (Gt_target - deltaG).*ones(1,Npts);
plot(freq*1e-6,Gt)
hold on
plot(freq*1e-6,NF_amp)
plot(freq.*1e-6,Gmax,'r-*')
plot(freq.*1e-6,Gmin,'r-*')
legend('G_t','NF','Gain bounds','Location','East');
xlabel('Freq [MHz]')
ylabel('Magnitude [dB]')
axis([freq(1)*1e-6 freq(end)*1e-6 0 Gt_target+2]);
hold off
drawnow;
The optimization variables are all the elements (inductors and capacitors) of the input and output matching networks.
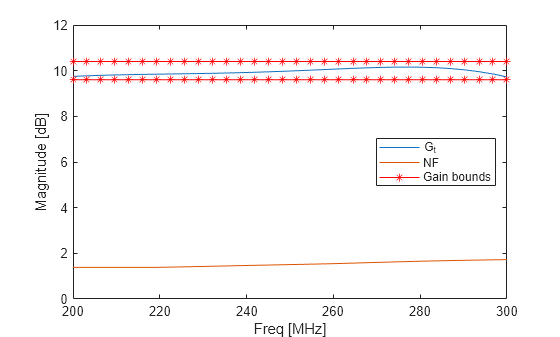
nIter = 125; % Max No of Iterations options = optimset('Display','iter','TolFun',1e-2,'MaxIter',nIter); % Set options structure LC_Optimized = [LvaluesIn;CvaluesIn;LvaluesOut;CvaluesOut]; LC_Optimized = fminsearch(@(LC_Optimized) broadband_match_amplifier_objective_function(Mismatched_Amp,InputMatchingNW,... OutputMatchingNW,LC_Optimized,freq,Gt_target,NFtarget),LC_Optimized,options);
Iteration Func-count f(x) Procedure
0 1 30.4869
1 9 28.3549 initial simplex
2 11 25.5302 expand
3 12 25.5302 reflect
4 13 25.5302 reflect
5 14 25.5302 reflect
6 16 22.8228 expand
7 17 22.8228 reflect
8 19 19.0289 expand
9 20 19.0289 reflect
10 21 19.0289 reflect
11 22 19.0289 reflect
12 24 14.8785 expand
13 25 14.8785 reflect
14 27 10.721 expand
15 28 10.721 reflect
16 29 10.721 reflect
17 31 9.84796 expand
18 32 9.84796 reflect
19 33 9.84796 reflect
20 34 9.84796 reflect
21 35 9.84796 reflect
22 37 9.84796 contract outside
23 39 9.84796 contract outside
24 41 9.84796 contract inside
25 43 9.64666 reflect
26 45 9.64666 contract inside
27 46 9.64666 reflect
28 48 9.64666 contract inside
29 49 9.64666 reflect
30 51 9.64666 contract inside
31 53 7.9372 expand
32 55 7.9372 contract outside
33 56 7.9372 reflect
34 57 7.9372 reflect
35 58 7.9372 reflect
36 59 7.9372 reflect
37 60 7.9372 reflect
38 62 5.98211 expand
39 63 5.98211 reflect
40 64 5.98211 reflect
41 65 5.98211 reflect
42 66 5.98211 reflect
43 68 4.31973 expand
44 70 4.31973 contract inside
45 71 4.31973 reflect
46 72 4.31973 reflect
47 73 4.31973 reflect
48 74 4.31973 reflect
49 75 4.31973 reflect
50 77 2.83135 expand
51 79 1.17624 expand
52 80 1.17624 reflect
53 81 1.17624 reflect
54 82 1.17624 reflect
55 84 0.691645 reflect
56 85 0.691645 reflect
57 86 0.691645 reflect
58 88 0.691645 contract inside
59 90 0.691645 contract outside
60 91 0.691645 reflect
61 93 0.691645 contract inside
62 95 0.691645 contract inside
63 96 0.691645 reflect
64 97 0.691645 reflect
65 98 0.691645 reflect
66 100 0.691645 contract inside
67 102 0.691645 contract outside
68 103 0.691645 reflect
69 105 0.691645 contract inside
70 107 0.497434 reflect
71 109 0.497434 contract inside
72 111 0.497434 contract inside
73 112 0.497434 reflect
74 114 0.497434 contract inside
75 116 0.497434 contract inside
76 118 0.444957 reflect
77 120 0.402851 expand
78 122 0 reflect
79 123 0 reflect
80 125 0 contract inside
81 127 0 contract inside
82 128 0 reflect
83 129 0 reflect
84 130 0 reflect
85 131 0 reflect
86 132 0 reflect
87 133 0 reflect
88 134 0 reflect
89 135 0 reflect
90 137 0 contract inside
91 139 0 contract outside
Optimization terminated:
the current x satisfies the termination criteria using OPTIONS.TolX of 1.000000e-04
and F(X) satisfies the convergence criteria using OPTIONS.TolFun of 1.000000e-02
![Figure contains an axes object. The axes object with xlabel Freq [MHz], ylabel Magnitude [dB] contains 4 objects of type line. These objects represent G_t, NF, Gain bounds.](../../examples/rf/win64/DesigningBroadbandMatchingNetworksPart2AmplifierExample_06.png)
Update Matching Network and Analyze LNA
Update the input and output matching networks with optimized element values, LC_Optimized.
InputMatchingNW.Elements(1).Inductance = LC_Optimized(1); InputMatchingNW.Elements(2).Inductance = LC_Optimized(2); InputMatchingNW.Elements(4).Inductance = LC_Optimized(3); InputMatchingNW.Elements(3).Capacitance = LC_Optimized(4); OutputMatchingNW.Elements(1).Inductance = LC_Optimized(5); OutputMatchingNW.Elements(2).Inductance = LC_Optimized(6); OutputMatchingNW.Elements(4).Inductance = LC_Optimized(7); OutputMatchingNW.Elements(3).Capacitance = LC_Optimized(8);
Analyze the S-parameters of input and output matching networks and then convert the S-parameter data into an nport object.
s1 = sparameters(InputMatchingNW,freq); np1 = nport(s1); s2 = sparameters(OutputMatchingNW,freq); np2 = nport(s2);
Use the rfbudget object to calculate the transducer gain and the noise figure across the bandwidth. Compute RF budget of the LNA network. The LNA network comprises of matching network and low noise amplifier.
bMatched = rfbudget([np1 clone(Mismatched_Amp) np2],freq',-30,BW);
Verify Design
Plot the transducer gain and the noise figure and then compare the optimization results with the mismatched network.
plot(freq*1e-6,bMatched.TransducerGain(:,end)) hold on plot(freq*1e-6,bMismatched.TransducerGain(:,end)) plot(freq*1e-6,bMatched.NF(:,end)) plot(freq*1e-6,bMismatched.NF(:,end)) legend('G_t - Matched','G_t - Mismatched','NF - Matched',... 'NF - Mismatched','Location','East') xlabel('Frequency [MHz]') ylabel('Magnitude [dB]') axis([freq(1)*1e-6 freq(end)*1e-6 0 12]) grid on hold off
![Figure contains an axes object. The axes object with xlabel Frequency [MHz], ylabel Magnitude [dB] contains 4 objects of type line. These objects represent G_t - Matched, G_t - Mismatched, NF - Matched, NF - Mismatched.](../../examples/rf/win64/DesigningBroadbandMatchingNetworksPart2AmplifierExample_07.png)
The plot shows that the target requirement for both gain and noise figure have been met. To understand the effect of optimizing with respect to only the transducer gain, use the first choice for the cost function. The cost function involves only the gain term within the objective function.
Display Optimized Element Values
Display the optimized inductor and capacitor values for the input matching network.
Lin_Optimized = LC_Optimized(1:3)
Lin_Optimized = 3×1
10-7 ×
0.5722
0.9272
0.3546
Cin_Optimized = LC_Optimized(4)
Cin_Optimized = 6.8526e-12
Display the optimized inductor and capacitor values for the output matching network
Lout_Optimized = LC_Optimized(5:7)
Lout_Optimized = 3×1
10-6 ×
0.0517
0.1275
0.0581
Cout_Optimized = LC_Optimized(8)
Cout_Optimized = 5.4408e-12
Matching Network with Real-world Lumped Component Models
The real-world lumped components are selected from the Modelithics Select+ Library [5]. You must have the Modelithics Select+ Library license to run the following codes. Note that the Modelithics® LC elements are scaled with respect to the substrate characteristics. This example shows one possible approach using a 59 mil FR4 substrate.
Create RF Component from Modelithics SELECT+ Library
Set up the Modelithics Select+ Library by specifying the full path to the library.
mdlxSetup('C:\mdlx_library\SELECT')
Create the Modelithics® library object.
mdlx = mdlxLibrary;
Search the library for inductors with the optimized value for the input matching network.
search(mdlx,'FR4Standard59mil',Type='Inductors',Value=Lin_Optimized(1))

Search the library for capacitors with the optimized value for the input matching network.
search(mdlx,'FR4Standard59mil',Type='Capacitors',Value=Cin_Optimized)

Create an array of Modelithics® LC elements for the input and output matching networks.
Lin1_mdlx = search(mdlx,'FR4Standard59mil',Type='Inductors',Value=Lin_Optimized(1)); Lin2_mdlx = search(mdlx,'FR4Standard59mil',Type='Inductors',Value=Lin_Optimized(2)); Lin3_mdlx = search(mdlx,'FR4Standard59mil',Type='Inductors',Value=Lin_Optimized(3)); Cin_mdlx = search(mdlx,'FR4Standard59mil',Type='Capacitors',Value=Cin_Optimized); Lout1_mdlx = search(mdlx,'FR4Standard59mil',Type='Inductors',Value=Lout_Optimized(1)); Lout2_mdlx = search(mdlx,'FR4Standard59mil',Type='Inductors',Value=Lout_Optimized(2)); Lout3_mdlx = search(mdlx,'FR4Standard59mil',Type='Inductors',Value=Lout_Optimized(3)); Cout_mdlx = search(mdlx,'FR4Standard59mil',Type='Capacitors',Value=Cout_Optimized);
Create and Anlyze Matching Networks
Create the input and output matching networks with Modelithics® capacitors and inductors. Note that most of the Modelithics® lumped components have two ports. Use the setports function to define the circuit as a 2-port network.
InputMatchingNWMdlx = circuit; add(InputMatchingNWMdlx,[1 2 0 0],Lin1_mdlx(1)); add(InputMatchingNWMdlx,[2 0 0 0],Lin2_mdlx(1)); add(InputMatchingNWMdlx,[2 0 0 0],Cin_mdlx(1)); add(InputMatchingNWMdlx,[2 3 0 0],Lin3_mdlx(1)); setports(InputMatchingNWMdlx,[1 0],[3 0]); OutputMatchingNWMdlx = circuit; add(OutputMatchingNWMdlx,[1 2 0 0],Lout1_mdlx(1)); add(OutputMatchingNWMdlx,[2 0 0 0],Lout2_mdlx(1)); add(OutputMatchingNWMdlx,[2 0 0 0],Cout_mdlx(1)); add(OutputMatchingNWMdlx,[2 3 0 0],Lout3_mdlx(1)); setports(OutputMatchingNWMdlx,[1 0],[3 0]);
Analyze the S-parameters of input and output matching networks and then convert the S-parameter data into an nport object.
sm1 = sparameters(InputMatchingNWMdlx,freq); npm1 = nport(sm1); sm2 = sparameters(OutputMatchingNWMdlx,freq); npm2 = nport(sm2);
Use the rfbudget object to calculate the transducer gain and the noise figure across the bandwidth. Compute RF budget of the LNA network. The LNA network comprises of matching network and low noise amplifier.
bMatchedMdlx = rfbudget([npm1 clone(Mismatched_Amp) npm2],freq',-30,BW);
Verify Design
Plot the transducer gain and the noise figure of the real-world matching network and then compare the optimization results with the mismatched network.
figure plot(freq*1e-6,bMatchedMdlx.TransducerGain(:,end)) hold on plot(freq*1e-6,bMatched.TransducerGain(:,end)) plot(freq*1e-6,bMismatched.TransducerGain(:,end)) plot(freq*1e-6,bMatchedMdlx.NF(:,end)) plot(freq*1e-6,bMatched.NF(:,end)) plot(freq*1e-6,bMismatched.NF(:,end)) axis([freq(1)*1e-6 freq(end)*1e-6 0 12]) legend('G_t - Matched w/ Modelithics®','G_t - Matched w/ ideal',... 'G_t - Mismatched','NF - Matched w/ Modelithics®','NF - Matched w/ ideal',... 'NF - Mismatched','Position', [0.22643,0.47762,0.49643,0.25119]) xlabel('Frequency [MHz]') ylabel('Magnitude [dB]') grid on hold off

The most noticeable aspect of the matching performance when using the Modelithics® library is the large deviation in transducer gain especially beyond 275 MHz. The noise figure performance has also worsened by approximately 0.25 dB. This can be explained by the fact that the inductor and capacitor models now represent real-world parasitic effects such as those due to the presence of a substrate, pads and orientation. This analysis highlights the importance of being able to predict such behaviors prior to realization of the design in hardware.
References
[1] Ludwig, Reinhold, and Gene Bogdanov. RF Circuit Design: Theory and Applications. Upper Saddle River, NJ: Prentice-Hall, 2009.
[2] Cuthbert, Thomas R. Broadband Direct-Coupled and Matching RF Networks. Greenwood, Ark.: T.R. Cuthbert, 1999.
[3] Cuthbert, T.R. “A Real Frequency Technique Optimizing Broadband Equalizer Elements.” In 2000 IEEE International Symposium on Circuits and Systems. Emerging Technologies for the 21st Century. Proceedings (IEEE Cat No.00CH36353), 5:401–4. Geneva, Switzerland: Presses Polytech. Univ. Romandes, 2000. https://doi.org/10.1109/ISCAS.2000.857453.
[4] Pozar, David M. Microwave Engineering. 4th ed. Hoboken, NJ: Wiley, 2012.