Vehicle in Simscape Driveline and Simulink
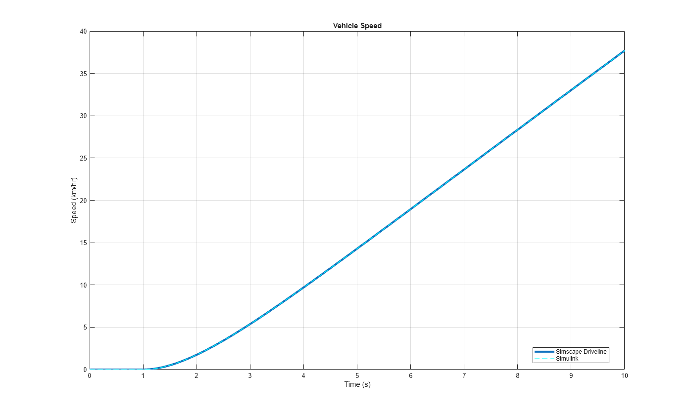
This model shows two equivalent simplified vehicles modeled in Simscape™ Driveline™ and Simulink®. The simulation results are identical, and the Simscape Driveline model is easily extensible to include different effects and a higher level of modeling fidelity. Meshing losses in the gears and more detailed tire modeling can be added without introducing algebraic loops.
Model

Simulation Results from Simscape Logging
The plot below compares the results of the Simscape Driveline and Simulink models. When the models are equivalent, the results are identical. Meshing losses and other physical effects can be easily added to the Simscape Driveline model by enabling them in blocks.
