Cell Counting
This example shows how to use a combination of basic morphological operators and blob analysis to extract information from a video stream. In this case, the example counts the number of E. Coli bacteria in each video frame. Note that the cells are of varying brightness, which makes the task of segmentation more challenging.
Example Model
The following figure shows the Cell Counting example model.

Segment Cells Subsystem
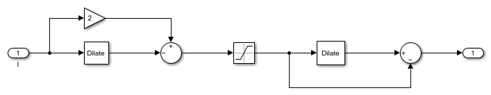
Inside the Isolate Cells subsystem, the example uses a combination of morphological dilation and image arithmetic operations to remove uneven illumination and to emphasize the boundaries between the cells. Due to changes in overall lighting intensity, the example cannot apply a single threshold value to all of the video frames. The example uses the Autothreshold block to compute a threshold for each frame.

Isolate Cells subsystem:

Cell Counting Results
After the example applies the threshold and separates the cells, it uses the Blob Analysis block to count the number of cells in each frame and to calculate the centroid of each cell. The example passes the total number of cells in each frame to the Insert Text block, which is in the Display Results subsystem. This block embeds this information on each video frame.
The Cell division rate window shows the exponential growth of the bacteria.

The Results window displays one frame of the original video and green markers indicating centroid locations of the found cells. The frame number and the number of cells are displayed in the upper left corner.

Data Set Credits
The data set for this example was provided by Jonathan Young and Michael Elowitz from California Institute of Technology®. It is used with permission. For additional information about this data, see
N. Rosenfeld, J. Young, U. Alon, P. Swain, and M.B. Elowitz, "Gene Regulation at the Single-Cell Level, " Science 2005, Vol. 307, pp. 1962-1965.