findpeaks
Find local maxima
Syntax
Description
returns a vector with the local maxima (peaks) of the input signal vector,
pks = findpeaks(y)y. A local peak is a data sample
that is either larger than its two neighboring samples or is equal to an
Inf value. The function outputs the peaks in order of
occurrence and excludes non-Inf signal endpoints. If a peak
is flat, the function returns only the point with the lowest index.
[___] = findpeaks(___,
specifies options using name-value arguments in addition to any of the input
arguments in previous syntaxes.Name=Value)
findpeaks(___) without output
arguments plots the signal and overlays the peak values.
Examples
Define a vector with three peaks.
data = [25 8 15 5 6 10 10 3 1 20 7];
Find the local maxima. The findpeaks function returns peaks in order of occurrence. The function does not include the endpoints of data in the peak finding because there is no left or right neighbor to compare the endpoints with.
pks = findpeaks(data)
pks = 1×3
15 10 20
Use findpeaks without output arguments to display the peaks. For the flat peak, the function highlights only the point with the lowest index.
findpeaks(data)

Create a signal that consists of a sum of Gaussian curves. Specify the position, height, and width of each curve.
x = linspace(0,1,1000); Pos = [1 2 3 5 7 8]'/10; Hgt = [3 4 4 2 2 3]'; Wdt = [2 6 3 3 4 6]'/100; y = sum(Hgt.*(exp(-((x-Pos)./Wdt).^2)),1);
Use findpeaks with default settings to find the peaks of the signal and their locations.
[pks,locs] = findpeaks(y,x);
Plot the peaks using findpeaks. Label each peak.
findpeaks(y,x) text(locs+.02,pks,num2str((1:numel(pks))'))

Sort the peaks from tallest to shortest.
[psor,lsor] = findpeaks(y,x,SortStr="descend");
findpeaks(y,x)
text(lsor+.02,psor,num2str((1:numel(psor))'))
Create a signal that consists of a sum of Gaussian curves riding on a full period of a cosine. Specify the location, height, and width of each curve.
x = linspace(0,1,1000); base = 4*cos(2*pi*x); Pos = [1 2 3 5 7 8]'/10; Hgt = [3 7 5 5 4 5]'; Wdt = [1 3 3 4 2 3]'/100; y = sum(Hgt.*(exp(-((x-Pos)./Wdt).^2)),1) + base;
Use findpeaks to locate and plot the peaks that have a prominence of at least 4. Only the highest and lowest peaks satisfy the minimum prominence condition.
[~,locs4,~,proms4] = findpeaks(y,x,MinPeakProminence=4)
locs4 = 1×2
0.1982 0.4995
proms4 = 1×2
5.5773 4.4171
findpeaks(y,x,MinPeakProminence=4,Annotate="extents")
Display the location, prominence, and peak width at half prominence of all the peaks. The second and fourth peaks are the ones with prominence greater than or equal to 4.
[~,locs,widths,proms] = findpeaks(y,x)
locs = 1×6
0.1001 0.1982 0.2983 0.4995 0.7017 0.8018
widths = 1×6
0.0154 0.0431 0.0377 0.0625 0.0274 0.0409
proms = 1×6
2.6816 5.5773 3.1448 4.4171 2.9191 3.6363
Extract peaks from sunspot average count data and estimate the average sunspot cycle.
Load the file sunspot.dat, which contains the average number of sunspots observed every year from 1700 to 1987. Plot the number of sunspots by year and overlay the maxima. Zoom into the time period between 1855 and 1920.
load sunspot.dat year = sunspot(:,1); avSpots = sunspot(:,2); findpeaks(avSpots,year) xlabel("Year") xlim([1855 1920])

Sunspots are a cyclic phenomenon. Their number is known to peak roughly every 11 years.
Estimate the cycle duration by finding the average separation between peaks. Start by ignoring peaks that are not maxima. Restrict the acceptable peak-to-peak separations to periods greater than 6 years.
findpeaks(avSpots,year,MinPeakDistance=6)
xlabel("Year")
xlim([1855 1920])
Create a datetime array using the yearly data. Assume the sunspots were counted every year on March 20th, close to the vernal equinox. Find the peak sunspot years. Use the years function to specify the minimum peak separation as a duration.
ty = datetime(year,3,20); [pk,lk] = findpeaks(avSpots,ty,MinPeakDistance=years(6)); plot(ty,avSpots,lk,pk,"o") xlabel("Year")

Compute the average sunspot cycle. The estimated average sunspot cycle closely agrees with the known 11-year period.
dttmCycle = years(mean(diff(lk)))
dttmCycle = 10.9600
You can find peaks that meet certain feature criteria, among them, minimum or maximum peak distance or height, prominence, and threshold of peak difference with its neighbors. Use findpeaks to constrain single or multiple peak features.
Constrain Peaks by Feature from Audio Signal
Load an audio signal sampled at 7418 Hz. Select 200 samples.
load mtlb
select = mtlb(1001:1200);Find and highlight all the peaks from the audio signal. Then, find and highlight the peaks that are separated by at least 5 ms. To apply the minimum separation constraint, findpeaks chooses the tallest peak in the signal and eliminates all peaks within 5 ms of it. The function then repeats the procedure for the tallest remaining peak and iterates until it runs out of peaks to consider.
figure tiledlayout("vertical") nexttile findpeaks(select,Fs) legend("No Constraints",Location="southwest") nexttile lgn = @(txt) legend(txt,FontName="FixedWidth",Location="southwest"); findpeaks(select,Fs,MinPeakDistance=0.005) lgn("MinPeakDistance")

Find and plot the peaks that individually meet each of these constraints:
Find the peaks with an amplitude of at least 1 V.
Find the peaks that are at least 1 V higher than their neighboring samples.
Find the peaks that drop at least 1 V on either side before the signal attains a higher value.
figure tiledlayout("vertical") nexttile findpeaks(select,Fs,MinPeakHeight=1) lgn("MinPeakHeight") nexttile findpeaks(select,Fs,Threshold=1) lgn("Threshold") nexttile findpeaks(select,Fs,MinPeakProminence=1) lgn("MinPeakProminence")

Constrain Multiple Peak Features from Chirp Signal
Find and highlight all peaks of a 1000-sample chirp signal whose widths are between 2.5 and 4 ms.
N = 1000; x = sin(2*pi*(1:N)/N + (10*(1:N)/N).^2); figure findpeaks(x,Fs,Annotate="extents", ... MinPeakWidth=2.5e-3,MaxPeakWidth=4e-3) title("Peaks with Multiple Constraints")

Sensors can return clipped readings if the data are larger than a given saturation point. You can choose to disregard these extrema as meaningless or incorporate them to your analysis.
Generate a signal that consists of a product of trigonometric functions of frequencies 5 Hz and 3 Hz embedded in white Gaussian noise of variance 0.1². Sample the signal for one second at a rate of 100 Hz. Reset the random number generator for reproducible results.
rng("default")
Fs = 100;
t = 0:1/Fs:1;
s = sin(2*pi*5*t).*sin(2*pi*3*t) + randn(size(t))/10;Synthesize a saturated measurement by truncating every reading where the absolute value is greater than the specified bound of 0.32. Then, normalize the signal and make it range between 0.1 and 1. Convert the normalized magnitude to decibels and plot the result.
bnd = 0.32; s(s>bnd) = bnd; s(s<-bnd) = -bnd; sNorm = 0.1+0.9*(s-min(s))/(max(s)-min(s)); sig = mag2db(sNorm); plot(t,sig) xlabel("Time (s)") ylabel("Magnitude (dB)") ylim([-25 5])

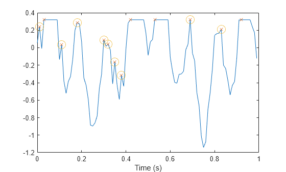
Locate the peaks and valleys of the signal. findpeaks identifies only the rising edge of each flat peak.
[pk,lcp] = findpeaks(sig,t); % Peaks [vl,lcv] = findpeaks(-sig,t); % Valleys hold on plot(lcp,pk,"x",lcv,-vl,"*")

Use the Threshold name-value argument to exclude the flat peaks and valleys. Require a minimum magnitude difference of 0.1 dB between a peak or valley and its neighbors.
[pkt,lctp] = findpeaks(sig,t,Threshold=0.1); [vlt,lctv] = findpeaks(-sig,t,Threshold=0.1); plot(lctp,pkt,"o",LineWidth=1.2) plot(lctv,-vlt,"d",LineWidth=1.2)

Create a signal that consists of a sum of Gaussian curves. Specify the location, height, and width of each curve.
x = linspace(0,1,1000); Pos = [1 2 3 5 7 8]'/10; Hgt = [7 6 3 2 2 3]'; Wdt = [3 8 4 3 4 6]'/100; y = sum(Hgt.*(exp(-((x-Pos)./Wdt).^2)),1);
Measure the widths of the peaks using half prominence and half height as reference.
tiledlayout("flow") nexttile findpeaks(y,x,Annotate="extents") title("Half-Prominence Peak Widths") nexttile findpeaks(y,x,Annotate="extents",WidthReference="halfheight") title("Half-Height Peak Widths")

Select the tallest peaks separated by at least 0.5 units in the x-axis. Measure the widths of the peaks using half prominence and half height as reference.
figure tiledlayout("flow") nexttile findpeaks(y,x,MinPeakDistance=0.5,Annotate="extents") title("Half-Prominence Peak Widths") nexttile findpeaks(y,x,MinPeakDistance=0.5,Annotate="extents", ... WidthReference="halfheight") title("Half-Height Peak Widths")

Only the first and last peaks satisfy the minimum separation condition, so the widths displayed in the plot correspond to these two peaks. The extent of each peak remains unchanged, so the peak width preserves its value regardless of the conditions specified and whether the peak is selected or not.
Obtain a refined peak location estimate for the main two peaks in a signal using the nonlinear least squares method with a sinc function kernel.
Generate Signal
Radar pulse compression of a linear FM waveform produces a sinc-shaped spectrum, where the frequency locations of the peaks are proportional to the distance between the radar and the detected object. You can first estimate the peak locations and amplitudes with findpeaks and then enhance your estimates with refinepeaks. This example finds the peak amplitudes and locations of a synthetic noiseless pulse compression signal and uses refinepeaks to improve the estimates.
Generate a signal composed of two sinc-shaped waveforms with peaks of 1 and 1.5 at 4.76 kHz and 35.8 kHz, respectively. Set the frequency spacing to 2.5 Hz.
aTg = [1 1.5]; fTg = 1e3*[4.76 35.8]; freqkHzFull = (0:0.0025:50)'; waveFull = abs(sinc([1 0.5].*(freqkHzFull-fTg/1e3)))*aTg';
Downsample the signal by a factor of 200 so the frequency spacing between samples is 0.5 kHz. This example refines the amplitude and location estimates of the downsampled signal peaks and compares the improved estimates to the values in the original signals.
freq = downsample(freqkHzFull,200); wave = downsample(waveFull,200); plot(freqkHzFull,waveFull,freq,wave,"*") legend(["Full signal" "Selected samples"],Location="northwest") xlabel("Frequency (kHz)") ylabel("Magnitude")

Refine Peaks Using Nonlinear Least Squares
Use findpeaks to make initial estimates of the amplitudes, locations, and half-height widths of the two highest peaks of the signal.
[PV,PL,PW] = findpeaks(wave,NPeaks=2, ... SortStr="descend",WidthReference="halfheight"); table(PV,freq(PL), RowNames="Peak estimate "+(1:numel(PV)), ... VariableNames=["Amplitude" "Frequency (kHz)"])
ans=2×2 table
Amplitude Frequency (kHz)
_________ _______________
Peak estimate 1 1.4824 36
Peak estimate 2 0.9374 5
Use refinepeaks to enhance the peak estimation using the nonlinear least squares (NLS) method. Specify the frequency points of the signal and the peak widths. The peak values are significantly closer to the expected values of 1.5 and 1, while the frequency locations approximate well to 35.8 kHz and 4.76 kHz, respectively.
LW = max(PW,2); [Ypk,Xpk] = refinepeaks(wave,PL,freq,Method="NLS",LobeWidth=LW); table(Ypk,Xpk, RowNames="Refined peak "+(1:numel(Ypk)), ... VariableNames=["Amplitude" "Frequency (kHz)"])
ans=2×2 table
Amplitude Frequency (kHz)
_________ _______________
Refined peak 1 1.5063 35.8
Refined peak 2 1.0163 4.7628
Plot the amplitudes of the refined peaks on the y-axis and the updated peak locations compared with the initial peak estimates on the x-axis. The two initially estimated peaks and their two surrounding samples are each separated by 0.5 kHz. The refined peaks, indicated by filled circles, show the actual peak locations compared to the initially estimated peak locations as well as the corrected amplitudes.
refinepeaks(wave,PL,freq,Method="NLS",LobeWidth=LW) yline(aTg) % Theoretical peak amplitudes errorBounds = aTg.*(1+0.03*[-1;1]); yline(errorBounds(:),":") % ±3% error bounds legend("Peak "+[1 2])

Input Arguments
Input data, specified as a vector. y must be
real-valued and must have at least three elements.
Data Types: double | single
Locations, specified as a vector or a datetime array.
x must increase monotonically and have the same
length as y. If you omit x, then
the function uses the indices of y as locations.
Data Types: double | single | datetime
Sample rate, specified as a positive scalar. The sample rate is the number of samples per unit time. If the unit of time is seconds, the sample rate has units of hertz.
Data Types: double | single
Name-Value Arguments
Specify optional pairs of arguments as
Name1=Value1,...,NameN=ValueN, where Name is
the argument name and Value is the corresponding value.
Name-value arguments must appear after other arguments, but the order of the
pairs does not matter.
Example: findpeaks(y,x,SortStr="descend",NPeaks=3) finds the
three tallest peaks of the signal y.
Maximum number of peaks to return, specified as a positive integer scalar.
If you do not specify this argument,
findpeaksreturns all the peaks identified from the input datay.If you specify this argument as
NPeaks=np,findpeaksreturns up tonppeaks from the input datay. If you also specifySortStr,findpeaksreturns the peaks as follows:If
SortStr="none",findpeaksreturns the firstnppeaks from the input data.If
SortStr="ascend",findpeaksreturnsnppeaks in ascending order, starting with the shortest peak from the input data.If
SortStr="descend",findpeaksreturnsnppeaks in descending order, starting with the tallest peak from the input data.
Data Types: double | single
Peak sorting, specified as one of these values:
"none"returns the peaks in the order in which they occur in the input data."ascend"returns the peaks in ascending or increasing order, from the smallest to the largest value."descend"returns the peaks in descending order, from the largest to the smallest value.
Minimum peak height, specified as a real-valued scalar. Use
MinPeakHeight to have
findpeaks return only those peaks that are
higher than the value specified in this argument. Specifying a minimum
peak height can reduce processing time.
Data Types: double | single
Minimum peak prominence, specified as a nonnegative scalar. Use
MinPeakProminence to have
findpeaks return only those peaks that have a
relative importance of at least the value specified in this argument.
For more information, see Prominence.
Data Types: double | single
Minimum height difference between a peak and its neighbors, specified
as a nonnegative scalar. Use Threshold to have
findpeaks return only those peaks that exceed
their immediate neighboring values by at least the value specified in
this argument.
Data Types: double | single
Minimum peak separation, specified as a positive scalar. When you
specify a value MinPeakDistance=d, the
findpeaks function chooses the tallest peak
in the signal and ignores all peaks within d
samples or units of time around the tallest peak found. The function
then repeats the procedure for the tallest remaining peak and iterates
until it runs out of peaks to consider.
If you specify a location vector,
x, thenMinPeakDistancemust be expressed in terms ofx. Ifxis adatetimearray, then specifyMinPeakDistanceas adurationscalar or as a numeric scalar expressed in days.If you specify a sample rate,
Fs, thenMinPeakDistancemust be expressed in units of time.If you specify neither
xnorFs, thenMinPeakDistancemust be expressed in units of samples.
Use this argument to have
findpeaks ignore small peaks that occur in
the neighborhood of a larger peak.
Data Types: double | single | duration
Reference height for width measurements, specified as either
"halfprom" or
"halfheight".
The findpeaks function estimates the width of a
peak as the distance between the points where the descending signal
intercepts a horizontal reference line. The function selects the height
of the line using the criterion specified in this argument:
"halfprom"positions the reference line beneath the peak at a vertical distance equal to half the peak prominence. See Prominence for more information."halfheight"positions the reference line at one-half the peak height. The function truncates the line if any of its intercept points lie beyond the borders of the peaks that it determines by using the values of theMinPeakHeight,MinPeakProminence, andThresholdarguments. The border between peaks is defined by the horizontal position of the lowest valley between them. The function discards peaks with height less than zero when you select this value.
The function computes the locations of the intercept points by linear interpolation.
Minimum peak width, specified as a positive scalar. Specify
MinPeakWidth=minPW to select only those peaks
that have widths of at least minPW samples or
units of time.
If you specify a location vector,
x, thenMinPeakWidthmust be expressed in terms ofx. Ifxis adatetimearray, then specifyMinPeakWidthas adurationscalar or as a numeric scalar expressed in days.If you specify a sample rate,
Fs, thenMinPeakWidthmust be expressed in units of time.If you specify neither
xnorFs, thenMinPeakWidthmust be expressed in units of samples.
Data Types: double | single | duration
Maximum peak width, specified as a positive scalar. Use this argument
Specify MaxPeakWidth=maxPW to select only those
peaks that have widths of at most maxPW samples
or units of time.
If you specify a location vector,
x, thenMaxPeakWidthmust be expressed in terms ofx. Ifxis adatetimearray, then specifyMaxPeakWidthas adurationscalar or as a numeric scalar expressed in days.If you specify a sample rate,
Fs, thenMaxPeakWidthmust be expressed in units of time.If you specify neither
xnorFs, thenMaxPeakWidthmust be expressed in units of samples.
Data Types: double | single | duration
Plot style, specified as one of these values:
"peaks"plots the signal and annotates the location and value of every peak."extents"plots the signal and annotates the location, value, width, and prominence of every peak.
The function ignores this argument if you call
findpeaks with output arguments.
Output Arguments
Local maxima, returned as a vector of signal values. If there are no local
maxima, then pks is empty.
Peak locations, returned as a vector.
If you specify a location vector,
x, thenlocscontains the values ofxat the peak indices.If you specify a sample rate,
Fs, thenlocsis a numeric vector of time instants with a time difference of 1/Fsbetween consecutive samples.If you specify neither
xnorFs, thenlocsis a vector of integer indices.
Peak widths, returned as a vector of real-valued numbers. The width of
each peak is computed as the distance between the points to the left and
right of the peak where the signal intercepts a reference line whose height
is specified by WidthReference. The points themselves
are found by linear interpolation.
Peak prominences, returned as a vector of real-valued numbers. The prominence of a peak is the minimum vertical distance that the signal must descend on either side of the peak before either climbing back to a level higher than the peak or reaching an endpoint. See Prominence for more information.
More About
The prominence of a peak measures how much the peak stands out due to its intrinsic height and its location relative to other peaks. A low isolated peak can be more prominent than one that is higher but is an otherwise unremarkable member of a tall range.
To measure the prominence of a peak:
Place a marker on the peak.
Extend a horizontal line from the peak to the left and right until the line does one of the following:
Crosses the signal because there is a higher peak
Reaches the left or right end of the signal
Find the minimum of the signal in each of the two intervals defined in Step 2. This point is either a valley or one of the signal endpoints.
The higher of the two interval minima specifies the reference level. The height of the peak above this level is its prominence.
findpeaks makes no assumption about the behavior of the signal beyond
its endpoints, whatever their height. As a result, Steps 2 and 4 disregard signal
behavior beyond endpoints, which often affects the value of the reference level.
Consider for example the peaks of this signal:
| Peak Number | Left Interval Lies Between Peak and | Right Interval Lies Between Peak and | Lowest Point on the Left Interval | Lowest Point on the Right Interval | Reference Level (Highest Minimum) |
|---|---|---|---|---|---|
| 1 | Left end | Crossing due to peak 2 | Left endpoint | a | a |
| 2 | Left end | Right end | Left endpoint | h | Left endpoint |
| 3 | Crossing due to peak 2 | Crossing due to peak 4 | b | c | c |
| 4 | Crossing due to peak 2 | Crossing due to peak 6 | b | d | b |
| 5 | Crossing due to peak 4 | Crossing due to peak 6 | d | e | e |
| 6 | Crossing due to peak 2 | Right end | d | h | d |
| 7 | Crossing due to peak 6 | Crossing due to peak 8 | f | g | g |
| 8 | Crossing due to peak 6 | Right end | f | h | f |
| 9 | Crossing due to peak 8 | Crossing due to right endpoint | h | i | i |
Tips
You can initially estimate signal peaks with findpeaks, and
then enhance their amplitudes and locations with refinepeaks.
Assume you have a signal with amplitudes y and locations
x. This code snippet shows how you can estimate and refine
peaks from y and x.
[yPeaks,xPeaksIdx] = findpeaks(y); [yRPeaks,xRPeaks] = refinepeaks(y,xPeaksIdx,x)
Extended Capabilities
Usage notes and limitations:
The
findpeaksfunction does not supportdatetimeinputs for code generation.
Usage notes and limitations:
The
findpeaksfunction does not supportdatetimeinputs for code generation.
This function fully supports GPU arrays. For more information, see Run MATLAB Functions on a GPU (Parallel Computing Toolbox).
Version History
Introduced in R2007bThe findpeaks function supports code generation for
graphical processing units (GPUs). You must have MATLAB®
Coder™ and GPU Coder™ to generate CUDA® code.
See Also
fminbnd | fminsearch | fzero | islocalmax | islocalmin | max | refinepeaks
MATLAB Command
You clicked a link that corresponds to this MATLAB command:
Run the command by entering it in the MATLAB Command Window. Web browsers do not support MATLAB commands.
Select a Web Site
Choose a web site to get translated content where available and see local events and offers. Based on your location, we recommend that you select: .
You can also select a web site from the following list
How to Get Best Site Performance
Select the China site (in Chinese or English) for best site performance. Other MathWorks country sites are not optimized for visits from your location.
Americas
- América Latina (Español)
- Canada (English)
- United States (English)
Europe
- Belgium (English)
- Denmark (English)
- Deutschland (Deutsch)
- España (Español)
- Finland (English)
- France (Français)
- Ireland (English)
- Italia (Italiano)
- Luxembourg (English)
- Netherlands (English)
- Norway (English)
- Österreich (Deutsch)
- Portugal (English)
- Sweden (English)
- Switzerland
- United Kingdom (English)