Particle Filter Parameters
To use the stateEstimatorPF particle filter, you must
specify parameters such as the number of particles, the initial particle location, and the
state estimation method. Also, if you have a specific motion and sensor model, you specify
these parameters in the state transition function and measurement likelihood function,
respectively. The details of these parameters are detailed on this page. For more
information on the particle filter workflow, see Particle Filter Workflow.
Number of Particles
To specify the number of particles, use the initialize method.
Each particle is a hypothesis of the current state. The particles
are distributed across your state space based on either a specified
mean and covariance, or on the specified state bounds. Depending on
the StateEstimationMethod property, either the
particle with the highest weight or the mean of all particles is taken
to determine the best state estimate.
The default number of particles is 1000. Unless performance is an issue, do not use fewer than 1000 particles. A higher number of particles can improve the estimate but sacrifices performance speed, because the algorithm has to process more particles. Tuning the number of particles is the best way to affect your particle filters performance.
These results, which are based
on the stateEstimatorPF example, show the difference in
tracking accuracy when using 100 particles and 5000 particles.

Initial Particle Location
When you initialize your particle filter, you can specify the initial location of the particles using:
Mean and covariance
State bounds
Your initial state is defined as a mean with a covariance relative to your system. This mean
and covariance correlate to the initial location and uncertainty of your system. The
stateEstimatorPF object distributes particles based on your
covariance around the given mean. The algorithm uses this distribution of particles to
get the best estimation of state, so an accurate initialization of particles helps to
converge to the best state estimation quickly.
If an initial state is unknown, you can evenly distribute your particles across a given state bounds. The state bounds are the limits of your state. For example, when estimating the position of a robot, the state bounds are limited to the environment that the robot can actually inhabit. In general, an even distribution of particles is a less efficient way to initialize particles to improve the speed of convergence.
The plot shows how the mean and covariance specification can cluster particles much more effectively in a space rather than specifying the full state bounds.

State Transition Function
The state transition function, StateTransitionFcn, of a particle filter
helps to evolve the particles to the next state. It is used during the prediction step
of the Particle Filter Workflow.
In the stateEstimatorPF object, the state transition function is
specified as a callback function that takes the previous particles, and any other
necessary parameters, and outputs the predicted location. The function header syntax is:
function predictParticles = stateTransitionFcn(pf,prevParticles,varargin)
By default, the state transition function assumes a Gaussian motion model with constant velocities. The function uses a Gaussian distribution to determine the position of the particles in the next time step.
For your application, it is important to have a state transition function that accurately
describes how you expect the system to behave. To accurately evolve all the particles,
you must develop and implement a motion model for your system. If particles are not
distributed around the next state, the stateEstimatorPF object does
not find an accurate estimate. Therefore, it is important to understand how your system
can behave so that you can track it accurately.
You also must specify system noise in StateTransitionFcn.
Without random noise applied to the predicted system, the particle
filter does not function as intended.
Although you can predict many systems based on their previous
state, sometimes the system can include extra information. The use
of varargin in the function enables you to input
any extra parameters that are relevant for predicting the next state.
When you call predict, you can include these parameters
using:
predict(pf,param1,param2)
Because these parameters match the state transition function
you defined, calling predict essentially calls
the function as:
predictParticles = stateTransitionFcn(pf,prevParticles,param1,param2)
The output particles, predictParticles, are
then either used by the Measurement Likelihood Function to correct the particles,
or used in the next prediction step if correction is not required.
Measurement Likelihood Function
After predicting the next state, you can use measurements from sensors to correct your
predicted state. By specifying a MeasurementLikelihoodFcn in the
stateEstimatorPF object, you can correct your predicted particles
using the correct function. This measurement likelihood function, by
definition, gives a weight for the state hypotheses (your particles) based on a given
measurement. Essentially, it gives you the likelihood that the observed measurement
actually matches what each particle observes. This likelihood is used as a weight on the
predicted particles to help with correcting them and getting the best estimation.
Although the prediction step can prove accurate for a small number of intermediate
steps, to get accurate tracking, use sensor observations to correct the particles
frequently.
The specification of the MeasurementLikelihoodFcn is similar to the
StateTransitionFcn. It is specified as a function handle in the
properties of the stateEstimatorPF object. The function header syntax
is:
function likelihood = measurementLikelihoodFcn(pf,predictParticles,measurement,varargin)
The output is the likelihood of each predicted particle based
on the measurement given. However, you can also specify more parameters
in varargin. The use of varargin in
the function enables you to input any extra parameters that are relevant
for correcting the predicted state. When you call correct,
you can include these parameters using:
correct(pf,measurement,param1,param2)
These parameters match the measurement likelihood function you defined:
likelihood = measurementLikelihoodFcn(pf,predictParticles,measurement,param1,param2)
The correct function uses the likelihood output
for particle resampling and giving the final state estimate.
Resampling Policy
The resampling of particles is a vital step for continuous tracking of objects. It enables you to select particles based on the current state, instead of using the particle distribution given at initialization. By continuously resampling the particles around the current estimate, you can get more accurate tracking and improve long-term performance.
When you call correct, the particles used for state estimation can be
resampled depending on the ResamplingPolicy property specified in the
stateEstimatorPF object. This property is specified as a resamplingPolicyPF (Navigation Toolbox) object. The TriggerMethod
property on that object tells the particle filter which method to use for resampling.
You can trigger resampling at either a fixed interval or when
a minimum effective particle ratio is reached. The fixed interval
method resamples at a set number of iterations, which is specified
in the SamplingInterval property. The minimum effective
particle ratio is a measure of how well the current set of particles
approximates the posterior distribution. The number of effective particles
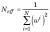
is calculated by:

In this equation, N is the number of particles,
and w is the normalized weight of each particle.
The effective particle ratio is then Neff / NumParticles.
Therefore, the effective particle ratio is a function of the weights
of all the particles. After the weights of the particles reach a low
enough value, they are not contributing to the state estimation. This
low value triggers resampling, so the particles are closer to the
current state estimation and have higher weights.
State Estimation Method
The final step of the particle filter workflow is the selection of a single state estimate.
The particles and their weights sampled across the distribution are used to give the
best estimation of the actual state. However, you can use the particles information to
get a single state estimate in multiple ways. With the
stateEstimatorPF object, you can either choose the best estimate
based on the particle with the highest weight or take a mean of all the particles.
Specify the estimation method in the StateEstimationMethod property
as either 'mean'(default) or 'maxweight'.
Because you can estimate the state from all of the particles in many ways, you can also
extract each particle and its weight from the stateEstimatorPF using the
Particles property.
See Also
stateEstimatorPF | resamplingPolicyPF