Technical Articles

The Wright Stuff: Celebrating the 1903 Flyer

By Stacey Gage, MathWorks


Eager to get home to Dayton, Ohio, for Christmas, Orville and Wilbur Wright rolled their Flyer out of its shed and onto rails laid on the hard, frozen sand, and decided to risk the 25 mph wind gusts.

That day, December 17, 1903, at Kitty Hawk, North Carolina, the brothers made the first powered, heavier-than-air controlled flights and became part of aviation history.

The first flight, piloted by Orville at 10:30 a.m., lasted only 12 seconds and covered a distance of 120 feet. The brothers, taking turns at the controls, made three other flights of increasing length that day. The fourth and final flight, completed by Wilbur, lasted an impressive 59 seconds and covered 852 feet. The 1903 Flyer would not take to the skies again. After the last flight of the day, the airplane was damaged beyond repair when it was caught by a gust of wind and rolled over.

What made these flights unprecedented was that the Flyer left the ground by its own power, moved forward under control without losing speed, and landed on a point as high as that from which it started. These incredible engineering feats were achieved without the benefit of computers, software, or current aeronautical engineering knowledge.

The Wright brothers collected information about aerodynamics, propulsion, and aircraft configuration from various sources. When specific information was not available, they often used theory and analysis to provide a solution. When theory and analysis failed, they used careful testing and observation. One of the problems the brothers faced was that the 1903 Flyer was dynamically and statically unstable1, making it difficult to fly. Laterally, the Flyer was susceptible to overturning in crosswinds and gusts, and longitudinally, the pitch angle would undulate.

The Wright brothers and their predecessors, George Cayley, the father of aerodynamics; Alphonse Penaud, the builder of one of the first inherently stable aircraft; and Otto Lilienthal, the first true glider pilot, improved their flying machines incrementally by trial and error.

This article, in celebration of the Wright brothers’ historic achievement, describes something they would have benefited from, but could not build—a COTS simulation of their 1903 Wright Flyer.

1903 Flyer Simulation

The 1903 Wright Flyer model was built using Simulink® and Aerospace Blockset™. The model is based on a simulation written by Frederick J. Hooven2. Hooven developed his simulation to explore the longitudinal stability of the Flyer. Since the simulation is only in the longitudinal plane, it is concerned with the forward and vertical motion and the pitch angle. This approach is acceptable since the original flights were all in a straight line. (Orville and Wilbur were able to control the lateral motion.) Their efforts can be seen in the famous photographs that show the 1903 Flyer with one wing tip nearly on the ground.

The 1903 Wright Flyer model (Figure 1) includes Airframe, Environment, and Pilot subsystems and a visualization created with Simulink 3D Animation™ and Unreal Engine®. The Airframe subsystem includes elevator angle of attack, aerodynamic coefficients, calculation of forces and moments, and three-degrees-of-freedom equations of motion. Conversions from the axis system of Hooven’s simulation and body axes are also performed. The Environmental subsystem shows discrete wind gusts, the COESA atmosphere model, the WGS84 gravity model, and calculations of angle of attack, airspeed, and dynamic pressure.

This Simulink model can be explored in our documentation.

Screenshot of a Simulink model showing connections between Pilot, Environment, Aircraft, and UE Visualization blocks.

Figure 1. 1903 Wright Flyer model. (Image credit: NASA)

In this model, the Pilot subsystem controls the Flyer by responding to both pitch angle (attitude) and angle of attack. If the angle of attack differs from the set angle of attack by more than one degree, the Pilot will respond with a correction of the elevator (canard) angle. When angular velocity exceeds +/- 0.02 rad/sec, angular velocity and angular acceleration are also taken into consideration with additional corrections to the elevator angle. The Pilot reaction time largely contributes to the success of the flight. Hooven found that a reaction time of 0.06 seconds was optimal for successful flights.

Using a Virtual Reality Modeling Language (VRML) model3 of the 1903 Flyer with Simulink 3D Animation blocks lets you view the motion of the Flyer in three dimensions (Figure 2).

View of a Wright Flyer model in 3D.

Figure 2. Simulink 3D Animation view of the 1903 Flyer.

Simulation Results

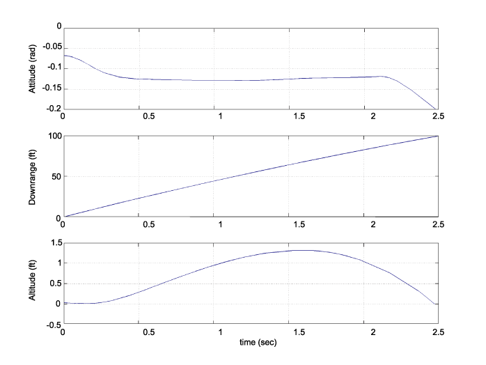
Default values for this simulation are set to enable the Flyer to take off and land successfully. Pilot reaction time (wf_B3) is set to 0.06 seconds, the desired angle of attack (wf_alphaa) is constant, and the altitude attained is low. Plots of the attitude, downrange, and altitude for this flight are shown in Figure 3.

Line plots of altitude, downrange, and attitude versus time.

Figure 3. Simulation results with a pilot reaction time of 0.06 seconds.

The Flyer model reacts similarly to the actual Flyer, since it leaves the ground, moves forward, and lands on a point as high as that from which it started. Examining the attitude, this model shows the longitudinal “undulation” of the actual 1903 Flyer. Having a pilot with a quick reaction time under the correct flight conditions makes it possible to successfully fly the 1903 Flyer. The Flyer model clearly confirms just how challenging it was to control the longitudinal motion of the Flyer on that gusty day in December a hundred years ago.

Celebrating the Centennial

Inspired by the Wright Brothers’ historic flights, many aeronautical organizations are planning to celebrate the centennial. Most notable are those who are building and flying Wright Flyer replicas to gain some insight into the Wright brothers’ experiences. Two of the planned flights are by the American Institute of Aeronautics and Astronautics (AIAA) and the Experimental Aircraft Association (EAA). The AIAA 1903 Wright Flyer, a highly authentic, full-size replica, was built by the Los Angeles chapter of the AIAA. This replica is currently touring in various locations. A second AIAA replica of the Wright Flyer is being constructed with the intent of flying on the centennial. In Kitty Hawk, North Carolina, at the Wright Brothers National Memorial, an authentic recreation of the 1903 Flyer, commissioned by the EAA and built by the Wright Experience, will be flown at the First Flight Centennial Celebration on December 17, 2003.4

Note: This article was updated in 2024.

Published 2003

References

  1. Culick, F. E. C. and Jex, H. R., “Aerodynamics, Stability, and Control of the 1903 Wright Flyer,” from The Wright Flyer: An Engineering Perspective, edited by Howard S. Wolko, 1987.

  2. Hooven, Frederick J., “Longitudinal Dynamics of the Wright Brothers’ Early Flyers ‘A Study in Computer Simulation of Flight,’” from The Wright Flyer: An Engineering Perspective, edited by Howard S. Wolko, 1987.

  3. Thaddeus Beier created the initial model of the 1903 Wright Flyer in Inventor format.

View Articles for Related Capabilities

View Articles for Related Industries