4-Way Directional Valve with Mechanical Effects
This example compares two 4-way directional valves, one with mechanical components to account for spool mass, valve spring and damper and one without (ideal valve). The input force to both valves is a sine wave. The operation of two valves are compared for different displacement frequencies, valve spring stiffness and damper coefficients.
Model

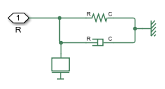
Valve Dynamics Subsystem

Mechanical Load Subsystem

Simulation Results from Scopes

Simulation Results from Simscape Logging
The plots below show the valve opening area (orifice A-T) for ideal valve and valve with dynamics for different input force frequencies.

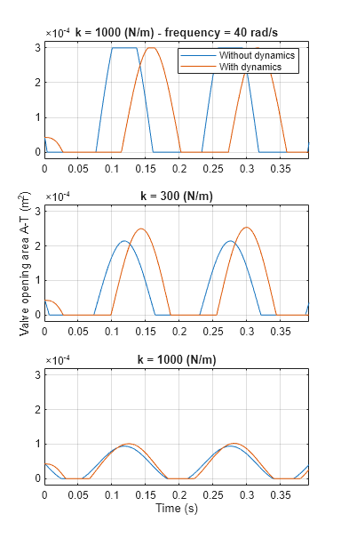
The plots below show the valve opening area (orifice A-T) for ideal valve and valve with dynamics for different spring stiffnesses.

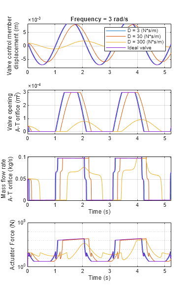
The plots below show the valve opening area (orifice A-T), control member displacement, and mass flow rate for ideal valve and valve with dynamics for different valve damping coefficients.

See Also
4-Way 3-Position Directional Valve (TL)