patch
Create patches of colored polygons
Syntax
Description
patch(
creates one or more patches of colored polygons by specifying X,Y,C)X and
Y as the coordinates for each vertex. patch connects the
vertices in the order that you specify them. To create one patch, specify X
and Y as vectors. To create multiple polygons, specify X
and Y as matrices where each column corresponds to a different polygon.
C determines the patch colors.
patch('XData',
is similar to X,'YData',Y,'ZData',Z)patch(X,Y,Z,C), except that you do not have to specify color
data.
Note
When you specify data using the 'XData', 'YData',
or 'ZData' name-value arguments, the data must have a numeric type, such
as double, single, or an integer type. To specify
categorical, datetime, or duration
data, use the X, Y, and Z
arguments.
patch('Faces',
creates one or more polygons where F,'Vertices',V)V specifies vertex values and
F defines which vertices to connect. Specifying only unique vertices and
their connection matrix can reduce the size of the data when there are many polygons. Specify
one vertex per row in V. To create one polygon, specify F
as a vector. To create multiple polygons, specify F as a matrix with one row
per polygon. Each face does not have to have the same number of vertices. To specify different
numbers of vertices, pad F with NaN values.
patch(___, creates
polygons and specifies one or more patch properties using name-value
pair arguments. A patch is the object that contains the data for all
of the polygons created. You can specify patch properties with any
of the input argument combinations in the previous syntaxes. For example, Name,Value)'LineWidth',2 sets
the outline width for all of the polygons to 2 points.
patch( draws the patch in the
axes specified by ax,___)ax instead of in the current axes
(gca). The option ax can precede any of the input
argument combinations in the previous syntaxes.
returns
the patch object that contains the data for all the polygons. Use p = patch(___)p to
query and modify properties of the patch object after it is created.
For a list of properties and descriptions, see Patch Properties.
Examples
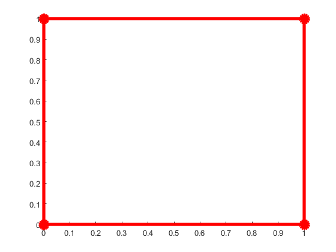
Create a single polygon by specifying the (x,y) coordinates of each vertex. Then, add two more polygons to the figure.
Create a red square with vertices at (0,0), (1,0), (1,1), and (0,1). Specify x as the x-coordinates of the vertices and y as the y-coordinates. patch automatically connects the last (x,y) coordinate with the first (x,y) coordinate.
x = [0 1 1 0];
y = [0 0 1 1];
patch(x,y,'red')
Create two polygons by specifying x and y as two-column matrices. Each column defines the coordinates for one of the polygons. patch adds the polygons to the current axes without clearing the axes.
x2 = [2 5; 2 5; 8 8];
y2 = [4 0; 8 2; 4 0];
patch(x2,y2,'green')
Define X as a vector of categorical values, and define Y as a vector of duration values. The patch function uses a sorted list of categories, so the x-axis might display them in a different order than you expect. To specify the order, call the reordercats function. Then, create a red patch to visualize the data.
X = categorical({'Freezing','Cold','Warm','Hot','Boiling','Boiling','Freezing'});
X = reordercats(X,{'Freezing','Cold','Warm','Hot','Boiling'});
Y = minutes([0 15 20 47 50 0 0]);
patch(X,Y,'red')
Create a single polygon by specifying the coordinates of each unique vertex and a matrix that defines how to connect them. Then, add two more polygons to the figure.
Create a red square with corners at (0,0), (1,0), (1,1), and (0,1). Specify v so that each row defines the (x,y) coordinates for one vertex. Then, specify f as the vertices to connect. Set the color by specifying the FaceColor property.
v = [0 0; 1 0; 1 1; 0 1]; f = [1 2 3 4]; patch('Faces',f,'Vertices',v,'FaceColor','red')

Create two polygons by specifying f as a two-row matrix. Each row defines the face for one patch.
v2 = [2 4; 2 8; 8 4; 5 0; 5 2; 8 0];
f2 = [1 2 3;
4 5 6];
patch('Faces',f2,'Vertices',v2,'FaceColor','green')
Create two polygons and use a different color for each polygon face. Use a colorbar to show how the colors map into the colormap.
Create the polygons using matrices x and y. Specify c as an column vector with two elements since there are two polygon faces, and add a colorbar.
x = [2 5; 2 5; 8 8]; y = [4 0; 8 2; 4 0]; c = [0; 1]; figure patch(x,y,c) colorbar

Alternatively, you can get the same result when using f and v instead. When you create the polygons, set FaceVertexCData to a column vector with two elements since there are two polygon faces. Set FaceColor to 'flat'.
v = [2 4; 2 8; 8 4; 5 0; 5 2; 8 0]; f = [1 2 3; 4 5 6]; col = [0; 1]; figure patch('Faces',f,'Vertices',v,'FaceVertexCData',col,'FaceColor','flat'); colorbar

Interpolate colors across polygon faces by specifying a color at each polygon vertex, and use a colorbar to show how the colors map into the colormap.
Create the polygons using matrices x and y. Specify c as a matrix the same size as x and y defining one color per vertex, and add a colorbar.
x = [2 5; 2 5; 8 8]; y = [4 0; 8 2; 4 0]; c = [0 3; 6 4; 4 6]; figure patch(x,y,c) colorbar

Alternatively, you can get the same result using f and v instead. When you create the polygons, set FaceVertexCData to a column vector with one value per vertex and set FaceColor to 'interp'.
v = [2 4; 2 8; 8 4; 5 0; 5 2; 8 0]; f = [1 2 3; 4 5 6]; col = [0; 6; 4; 3; 4; 6]; figure patch('Faces',f,'Vertices',v,'FaceVertexCData',col,'FaceColor','interp'); colorbar

Create a polygon with green edges and do not display the face. Then, create a second polygon with a different color for each edge.
v = [0 0; 1 0; 1 1]; f = [1 2 3]; figure patch('Faces',f,'Vertices',v,... 'EdgeColor','green','FaceColor','none','LineWidth',2);

Use a different color for each edge by specifying a color for each vertex and setting EdgeColor to 'flat'.
v = [2 0; 3 0; 3 1]; f = [1 2 3]; c = [1 0 0; % red 0 1 0; % green 0 0 1]; % blue patch('Faces',f,'Vertices',v,'FaceVertexCData',c,... 'EdgeColor','flat','FaceColor','none','LineWidth',2);

Use a structure to create two polygons. First, create a structure with fields names that match patch property names. Then, use the structure to create the polygons.
clear S S.Vertices = [2 4; 2 8; 8 4; 5 0; 5 2; 8 0]; S.Faces = [1 2 3; 4 5 6]; S.FaceVertexCData = [0; 1]; S.FaceColor = 'flat'; S.EdgeColor = 'red'; S.LineWidth = 2; figure patch(S)

Create two semitransparent polygons by setting the FaceAlpha property to a value between 0 and 1.
v1 = [2 4; 2 8; 8 4]; f1 = [1 2 3]; figure patch('Faces',f1,'Vertices',v1,'FaceColor','red','FaceAlpha',.3); v2 = [2 4; 2 8; 8 8]; f2 = [1 2 3]; patch('Faces',f2,'Vertices',v2,'FaceColor','blue','FaceAlpha',.5);

Create a multicolored line with markers at each vertex. Interpolate the colors and use a colorbar to show how the values map to the colormap.
Create the data. Set the last entry of y to NaN so that patch creates a line instead of a closed polygon. Define a color for each vertex using the y values. The values in c map to colors in the colormap.
x = linspace(1,10,15); y = sin(x); y(end) = NaN; c = y;
Create the line. Show markers at each vertex and set the EdgeColor to 'interp' to interpolate the colors between vertices. Add a colorbar.
figure patch(x,y,c,'EdgeColor','interp','Marker','o','MarkerFaceColor','flat'); colorbar;

Input Arguments
x-coordinates for the vertices, specified in one of these forms:
Vector — Create one polygon.
Matrix — Create
npolygons withmvertices each, where[m,n] = size(X). Each column in the matrix corresponds to one polygon.
If the data does not define closed polygons, then patch closes
the polygons. If the edges of an individual polygon intersect themselves,
the resulting polygons might be partly filled. In that case, it is
better to divide the patch object into smaller polygons.
When you specify X, the patch function
sets the XData property for the patch object to
the same value. The patch object automatically calculates the face
and vertex data and sets the Faces and Vertices properties
to the appropriate values.
Data Types: single | double | int8 | int16 | int32 | int64 | uint8 | uint16 | uint32 | uint64 | categorical | datetime | duration
y-coordinates for the vertices, specified in one of these forms:
Vector — Create one polygon.
Matrix — Create
npolygons withmvertices each, where[m,n] = size(Y). Each column in the matrix corresponds to one polygon.
If the data does not define closed polygons, then patch closes
the polygons. If the edges of an individual polygon intersect themselves,
the resulting polygons might be partly filled. In that case, it is
better to divide the patch object into smaller polygons.
When you specify Y, the patch function
sets the YData property for the patch object to
the same value. The patch object automatically calculates the face
and vertex data and sets the Faces and Vertices properties
to the appropriate values.
Data Types: single | double | int8 | int16 | int32 | int64 | uint8 | uint16 | uint32 | uint64 | categorical | datetime | duration
z-coordinates for the vertices, specified in one of these forms:
Vector — Create one polygon.
Matrix — Create
mpolygons withnvertices each, where[m,n] = size(Z). Each column in the matrix corresponds to one polygon.
When you specify Z, the patch function
sets the ZData property for the patch object to
the same value. The patch object automatically calculates the face
and vertex data and sets the Faces and Vertices properties
to the appropriate values.
Data Types: single | double | int8 | int16 | int32 | int64 | uint8 | uint16 | uint32 | uint64 | categorical | datetime | duration
Polygon colors, specified as a scalar, vector, matrix, or a color name. The format of the input determines whether all polygons have the same color, one color per face, or interpolated face colors.
| Desired Effect | Use One of These Formats | Results |
|---|---|---|
| Single color for all faces |
For an example, see Specifying Coordinates. |
|
| One color per face |
For an example, see Different Polygon Face Colors. |
|
| Interpolated face colors |
For an example, see Interpolated Polygon Face Colors. |
|
An RGB
triplet is a three-element row vector whose elements specify the intensities of the red,
green, and blue components of the color. The intensities must be in the range
[0,1]; for example, [0.4 0.6 0.7]. Alternatively, you
can specify some common colors by name. This table lists the long and short color name options
and the equivalent RGB triplet values.
| Option | Description | Equivalent RGB Triplet |
|---|---|---|
'red' or 'r' | Red | [1 0 0] |
'green' or 'g' | Green | [0 1 0] |
'blue' or 'b' | Blue | [0 0 1] |
'yellow' or 'y' | Yellow | [1 1 0] |
'magenta' or 'm' | Magenta | [1 0 1] |
'cyan' or 'c' | Cyan | [0 1 1] |
'white' or 'w' | White | [1 1 1] |
'black' or 'k' | Black | [0 0 0] |
Polygon vertices, specified in one of these forms:
Two-column matrix — Each row contains the (x,y) coordinates for a vertex.
Three-column matrix — Each row contains the (x,y,Z) coordinates for a vertex.
Specify only unique vertices. You can refer to a vertex more
than once when defining the face definitions in F.
When you specify V, the patch function
sets the Vertices property for the patch object
to the same value. The patch object automatically calculates the coordinate
data and sets the XData, YData,
and ZData to the appropriate values.
Data Types: single | double | int8 | int16 | int32 | int64 | uint8 | uint16 | uint32 | uint64
Face definitions, specified in one of these forms:
Row vector — Create a single polygon.
Matrix — Create multiple polygons where each row corresponds to a polygon.
For example, this code defines three vertices in V and
creates one polygon by connecting vertex 1 to 2, 2 to 3, and 3 to
1.
V = [1 1; 2 1; 2 2]; F = [1 2 3 1]; patch('Faces',F,'Vertices',V)
When you specify F, the patch function
sets the Faces property for the patch object to
the same value. The patch object automatically calculates the coordinate
data and sets the XData, YData,
and ZData to the appropriate values.
Data Types: single | double | int8 | int16 | int32 | int64 | uint8 | uint16 | uint32 | uint64
Patch definition, specified as a structure with fields that correspond patch property names and field values that correspond to patch property values.
Axes to plot into, specified as an Axes or PolarAxes
object. If you do not specify the axes, then patch plots into
the current axes or creates an Axes object (Cartesian axes).
Name-Value Arguments
Specify optional pairs of arguments as
Name1=Value1,...,NameN=ValueN, where Name is
the argument name and Value is the corresponding value.
Name-value arguments must appear after other arguments, but the order of the
pairs does not matter.
Before R2021a, use commas to separate each name and value, and enclose
Name in quotes.
Example: patch(x,y,c,'FaceAlpha',.5,'LineStyle',':') creates
semitransparent polygons with dotted edges.
The properties listed here are only a subset of patch properties. For a complete list, see Patch Properties.
Face color, specified as 'interp', 'flat' an RGB
triplet, a hexadecimal color code, a color name, or a short name.
To create a different color for each face, specify the CData or
FaceVertexCData property as an array containing one color per
face or one color per vertex. The colors can be interpolated from the colors of the
surrounding vertices of each face, or they can be uniform. For interpolated colors,
specify this property as 'interp'. For uniform colors, specify this
property as 'flat'. If you specify 'flat' and a
different color for each vertex, the color of the first vertex you specify determines
the face color.
To designate a single color for all of the faces, specify this property as an RGB triplet, a hexadecimal color code, a color name, or a short name.
An RGB triplet is a three-element row vector whose elements specify the intensities of the red, green, and blue components of the color. The intensities must be in the range
[0,1]; for example,[0.4 0.6 0.7].A hexadecimal color code is a character vector or a string scalar that starts with a hash symbol (
#) followed by three or six hexadecimal digits, which can range from0toF. The values are not case sensitive. Thus, the color codes'#FF8800','#ff8800','#F80', and'#f80'are equivalent.
| Color Name | Short Name | RGB Triplet | Hexadecimal Color Code | Appearance |
|---|---|---|---|---|
"red" | "r" | [1 0 0] | "#FF0000" |
|
"green" | "g" | [0 1 0] | "#00FF00" |
|
"blue" | "b" | [0 0 1] | "#0000FF" |
|
"cyan"
| "c" | [0 1 1] | "#00FFFF" |
|
"magenta" | "m" | [1 0 1] | "#FF00FF" |
|
"yellow" | "y" | [1 1 0] | "#FFFF00" |
|
"black" | "k" | [0 0 0] | "#000000" |
|
"white" | "w" | [1 1 1] | "#FFFFFF" |
|
"none" | Not applicable | Not applicable | Not applicable | No color |
This table lists the default color palettes for plots in the light and dark themes.
| Palette | Palette Colors |
|---|---|
Before R2025a: Most plots use these colors by default. |
|
|
|
You can get the RGB triplets and hexadecimal color codes for these palettes using the orderedcolors and rgb2hex functions. For example, get the RGB triplets for the "gem" palette and convert them to hexadecimal color codes.
RGB = orderedcolors("gem");
H = rgb2hex(RGB);Before R2023b: Get the RGB triplets using RGB =
get(groot,"FactoryAxesColorOrder").
Before R2024a: Get the hexadecimal color codes using H =
compose("#%02X%02X%02X",round(RGB*255)).
Face transparency, specified as one of these values:
Scalar in range
[0,1]— Use uniform transparency across all of the faces. A value of1is fully opaque and0is completely transparent. This option does not use the transparency values in theFaceVertexAlphaDataproperty.'flat'— Use a different transparency for each face based on the values in theFaceVertexAlphaDataproperty. First you must specify theFaceVertexAlphaDataproperty as a vector containing one transparency value per face or vertex. The transparency value at the first vertex determines the transparency for the entire face.'interp'— Use interpolated transparency for each face based on the values inFaceVertexAlphaDataproperty. First you must specify theFaceVertexAlphaDataproperty as a vector containing one transparency value per vertex. The transparency varies across each face by interpolating the values at the vertices.
Edge colors, specified as one of the values in this table. The default edge color is black
with a value of [0 0 0]. If multiple polygons share an edge, then the
first polygon drawn controls the displayed edge color.
| Value | Description | Result |
|---|---|---|
RGB triplet, hexadecimal color code, or color name | Single color for all of the edges. See the following table for more details. |
|
'flat' | Different color for each edge. Use the vertex colors to set
the color of the edge that follows it. You must first specify
|
|
'interp' | Interpolated edge color. You must first specify
|
|
'none' | No edges displayed. | No edges displayed. |
RGB triplets and hexadecimal color codes are useful for specifying custom colors.
An RGB triplet is a three-element row vector whose elements specify the intensities of the red, green, and blue components of the color. The intensities must be in the range
[0,1]; for example,[0.4 0.6 0.7].A hexadecimal color code is a character vector or a string scalar that starts with a hash symbol (
#) followed by three or six hexadecimal digits, which can range from0toF. The values are not case sensitive. Thus, the color codes"#FF8800","#ff8800","#F80", and"#f80"are equivalent.
Alternatively, you can specify some common colors by name. This table lists the named color options, the equivalent RGB triplets, and hexadecimal color codes.
| Color Name | Short Name | RGB Triplet | Hexadecimal Color Code | Appearance |
|---|---|---|---|---|
"red" | "r" | [1 0 0] | "#FF0000" |
|
"green" | "g" | [0 1 0] | "#00FF00" |
|
"blue" | "b" | [0 0 1] | "#0000FF" |
|
"cyan"
| "c" | [0 1 1] | "#00FFFF" |
|
"magenta" | "m" | [1 0 1] | "#FF00FF" |
|
"yellow" | "y" | [1 1 0] | "#FFFF00" |
|
"black" | "k" | [0 0 0] | "#000000" |
|
"white" | "w" | [1 1 1] | "#FFFFFF" |
|
This table lists the default color palettes for plots in the light and dark themes.
| Palette | Palette Colors |
|---|---|
Before R2025a: Most plots use these colors by default. |
|
|
|
You can get the RGB triplets and hexadecimal color codes for these palettes using the orderedcolors and rgb2hex functions. For example, get the RGB triplets for the "gem" palette and convert them to hexadecimal color codes.
RGB = orderedcolors("gem");
H = rgb2hex(RGB);Before R2023b: Get the RGB triplets using RGB =
get(groot,"FactoryAxesColorOrder").
Before R2024a: Get the hexadecimal color codes using H =
compose("#%02X%02X%02X",round(RGB*255)).
Line style, specified as one of the options listed in this table.
| Line Style | Description | Resulting Line |
|---|---|---|
"-" | Solid line |
|
"--" | Dashed line |
|
":" | Dotted line |
|
"-." | Dash-dotted line |
|
"none" | No line | No line |
Output Arguments
Patch object, returned as a scalar. Each patch object can consist
of one or more polygons. Use p to query or change
properties of the patch object after it is created.
Extended Capabilities
The patch function
supports GPU array input with these usage notes and limitations:
This function accepts GPU arrays, but does not run on a GPU.
For more information, see Run MATLAB Functions on a GPU (Parallel Computing Toolbox).
The patch function
supports distributed arrays with these usage notes and limitations:
This function operates on distributed arrays, but executes on the client MATLAB®.
For more information, see Run MATLAB Functions with Distributed Arrays (Parallel Computing Toolbox).
Version History
Introduced before R2006aCreate filled patches in polar coordinates by specifying a PolarAxes
object as the first argument to the patch function.
See Also
Functions
Properties
MATLAB Command
You clicked a link that corresponds to this MATLAB command:
Run the command by entering it in the MATLAB Command Window. Web browsers do not support MATLAB commands.
Select a Web Site
Choose a web site to get translated content where available and see local events and offers. Based on your location, we recommend that you select: .
You can also select a web site from the following list
How to Get Best Site Performance
Select the China site (in Chinese or English) for best site performance. Other MathWorks country sites are not optimized for visits from your location.
Americas
- América Latina (Español)
- Canada (English)
- United States (English)
Europe
- Belgium (English)
- Denmark (English)
- Deutschland (Deutsch)
- España (Español)
- Finland (English)
- France (Français)
- Ireland (English)
- Italia (Italiano)
- Luxembourg (English)
- Netherlands (English)
- Norway (English)
- Österreich (Deutsch)
- Portugal (English)
- Sweden (English)
- Switzerland
- United Kingdom (English)





