jc_0645: Parameter definition for calibration
Guideline Publication
Control Algorithm Modeling Guidelines - Using MATLAB®, Simulink®, and Stateflow®
Sub ID Recommendations
NA-MAAB — No recommendations
JMAAB — a
MATLAB Versions
All
Rule
Sub ID a
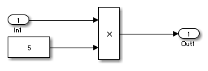
Block parameters that are targets of calibration shall be defined as named constants. Examples of parameters that are outside of the calibration target include:
Initial value parameter 0
Increment, decrement 1
Arithmetic expressions
Custom Parameter
Not Applicable
Example — Correct

Example — Incorrect

Rationale
Sub ID a:
A literal constant in the model will propagate as a literal constant in the generated code, making calibration impossible.
Verification
Model Advisor check: Check if tunable block parameters are defined as named constants (Simulink Check)
Last Changed
R2020a
See Also
Version History
Introduced in R2020a