Unary Minus
Negate input
Libraries:
Simulink /
Math Operations
HDL Coder /
HDL Floating Point Operations
HDL Coder /
Math Operations
Description
The Unary Minus block negates the input.
Examples
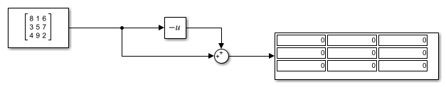
This example shows how to compute the unary minus of a matrix input.

Ports
Input
Input signal, specified as a scalar, vector, matrix, or N-D array.
Data Types: half | single | double | int8 | int16 | int32 | int64 | fixed point
Output
Negation of the input signal. The output has the same data type and dimensions as the input.
Data Types: half | single | double | int8 | int16 | int32 | int64 | fixed point
Parameters
Select to have integer overflows saturate. Otherwise, overflows wrap.
When you select this check box, saturation applies to every internal operation on the block, not just the output, or result. In general, the code generation process can detect when overflow is not possible. In this case, the code generator does not produce saturation code.
For signed-integer data types, the unary minus of the most negative value is not representable by the data type. In this case, the Saturate on integer overflow check box controls the behavior of the block:
| Parameter Setting | Block Behavior | Examples |
|---|---|---|
Saturate on integer overflow =
on | Values saturate to the most positive value of the integer data type |
|
Saturate on integer overflow =
off | Values wrap to the most negative value of the integer data type |
|
Programmatic Use
Block Parameter:
SaturateOnIntegerOverflow |
| Type: character vector |
Values:
'off' | 'on' |
Default:
'off' |
Specify the time interval between samples. To inherit the sample time, set this
parameter to -1. For more information, see Specify Sample Time.
Dependencies
This parameter is visible only if you set it to a value other than
-1. To learn more, see Blocks for Which Sample Time Is Not Recommended.
Programmatic Use
To set the block parameter value programmatically, use
the set_param function.
| Parameter: | SampleTime |
| Values: | "-1" (default) | scalar or vector in quotes |
Block Characteristics
Extended Capabilities
C/C++ Code Generation
Generate C and C++ code using Simulink® Coder™.
HDL Coder™ provides additional configuration options that affect HDL implementation and synthesized logic.
This block has one default HDL architecture.
| ConstrainedOutputPipeline | Number of registers to place at
the outputs by moving existing delays within your design. Distributed
pipelining does not redistribute these registers. The default is
|
| InputPipeline | Number of input pipeline stages
to insert in the generated code. Distributed pipelining and constrained
output pipelining can move these registers. The default is
|
| OutputPipeline | Number of output pipeline stages
to insert in the generated code. Distributed pipelining and constrained
output pipelining can move these registers. The default is
|
| SynthesisAttributes |
Specifies the synthesis attributes for the blocks and block output signals in the model. The generated HDL code contains these attributes. For more information, see SynthesisAttributes (HDL Coder). |
This block supports code generation for complex signals.
PLC Code Generation
Generate Structured Text code using Simulink® PLC Coder™.
This block only supports signed fixed-point data types.
Version History
Introduced before R2006aUse the SynthesisAttributes HDL block property to specify the synthesis attributes for the block and its output signals. HDL Coder includes these attributes in the generated HDL code.
MATLAB Command
You clicked a link that corresponds to this MATLAB command:
Run the command by entering it in the MATLAB Command Window. Web browsers do not support MATLAB commands.
Select a Web Site
Choose a web site to get translated content where available and see local events and offers. Based on your location, we recommend that you select: .
You can also select a web site from the following list
How to Get Best Site Performance
Select the China site (in Chinese or English) for best site performance. Other MathWorks country sites are not optimized for visits from your location.
Americas
- América Latina (Español)
- Canada (English)
- United States (English)
Europe
- Belgium (English)
- Denmark (English)
- Deutschland (Deutsch)
- España (Español)
- Finland (English)
- France (Français)
- Ireland (English)
- Italia (Italiano)
- Luxembourg (English)
- Netherlands (English)
- Norway (English)
- Österreich (Deutsch)
- Portugal (English)
- Sweden (English)
- Switzerland
- United Kingdom (English)