Energy Scavenger
This model shows how the performance of a rotational energy scavenger can be explored using a simple representative model. Electrical energy is produced from an off-center mass attached to the shaft of a DC motor. The mass, geometry, motor and electrical parameters must be matched to the expected mechanical excitation. The generated electrical power is less than the extracted mechanical power primarily due to motor winding losses and viscous damping for the rotor. This example is based on Nunna, K. "Constructive interconnection and damping assignment passivity-based control with applications", Imperial College London (2014). The model here is simplified in that the DC-DC converter is omitted.
Model

Simulation Results from Simscape Logging
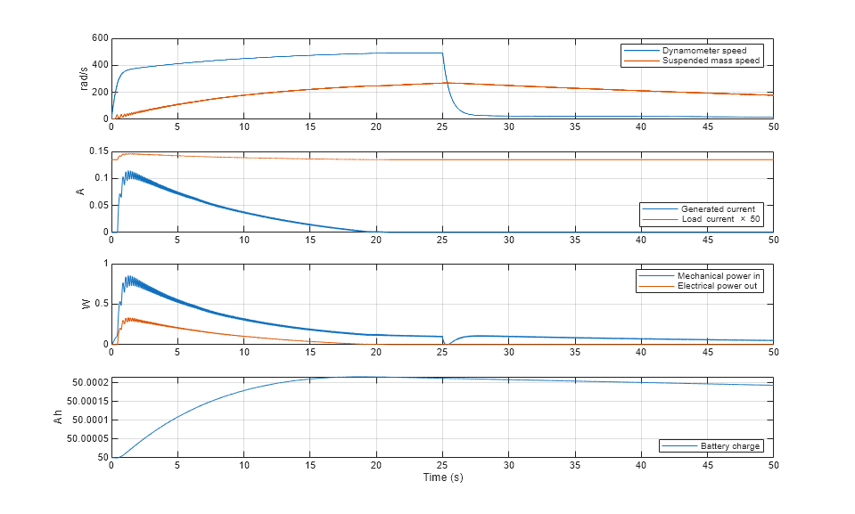
The plot below shows the dynamometer and suspended mass speeds along with generated and load currents plus battery charge.

Results from Real-Time Simulation
This example has been tested on these platforms:
Speedgoat™ Performance real-time target machine with an Intel® 3.5 GHz i7 multi-core CPU and 4 GB RAM.
dSPACE® SCALEXIO LabBox with Intel® Core XEON E3-1275v3 at 3.5GHz and 4 GB RAM.
You can run this model in real time with a step size of 100 microseconds by using the Simscape local solver. For small sample rates, a task overrun might occur during the initial task execution due to a cold cache. To avoid this overrun, if the selected platform supports these options, relax the start-up behavior by specifying a limited number of task overruns or increasing the sample time of periodic tasks during the start-up phase of the real-time application.