Hybrid Linear Actuator
This example shows a hybrid actuator consisting of a DC motor plus lead screw in series with a piezoelectric stack. The DC motor and lead screw combination supports large displacements (tens of millimeters), but is dynamically slow when tracking the reference demand x_ref. Conversely the piezoelectric stack only supports a maximum displacement of +-0.1mm, but has a very fast dynamic response. Combining the two actuator technologies creates a large stroke actuator with highly precise positioning.
An example application is antenna pointing control when tracking a satellite - large amplitude motion with time constants measured in a few seconds is required to move between satellites, whereas fine control is required to track a given non-geostationary satellite.
Setting the step input to 0.05mm shows system performance for fine control. The initial motion is provided by the piezoelectric stack, and this is then washed out as the DC Motor rotor angle moves to the new operating point. Setting the input to 10mm shows system performance for a larger input.
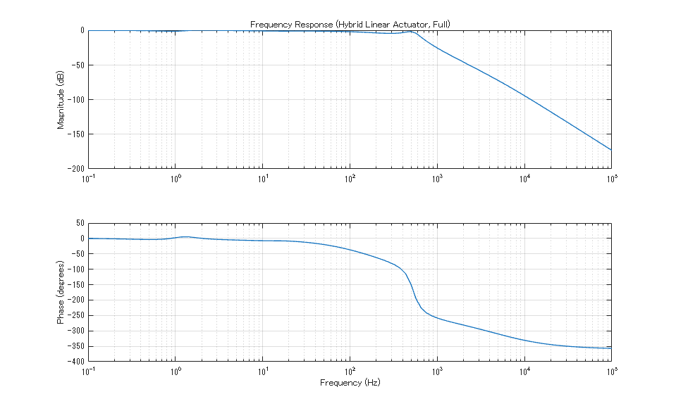
This model can be used to obtain the frequency response of the system. MATLAB® command linmod can be used to linearize the model. If you have Simulink® Control Design™, then a good way to understand the overall actuator performance is to plot a Bode plot. Open the model HybridLinearActuator. On the Apps tab, under Control Systems, click Model Linearizer. In the Model Linearizer, on the Linear Analysis tab, in the Linearize section, click Bode. Note that the initial state on the current controller integrator has been set to a small non-zero number to avoid linearizing the Abs block around zero. You can disable the piezoelectric stack to generate a Bode plot for the DC Motor by itself.
Model

Simulation Results from Simscape Logging
The plot below shows the extension of the actuator as the control system attempts to track a reference input. The Piezo Stack can react much faster than the DC motor but has a limited range. The control system uses them together to track the reference signal.
Test with step input of 10 mm

Test with step input of 0.05 mm

Frequency Response
Frequency response of full hybrid actuator

Frequency response of DC motor only
