IGBT Dynamic Characteristics
This example shows how the dynamic characteristics of an IGBT depend on its parameters. A prerequisite to matching dynamic characteristics to datasheet values or measured data is to set the parameters defining the static I-V curve. For this, see the 'IGBT Characteristics' example, IGBTCharacteristics. With static parameters correctly set, the dynamic parameters can then be set as follows:
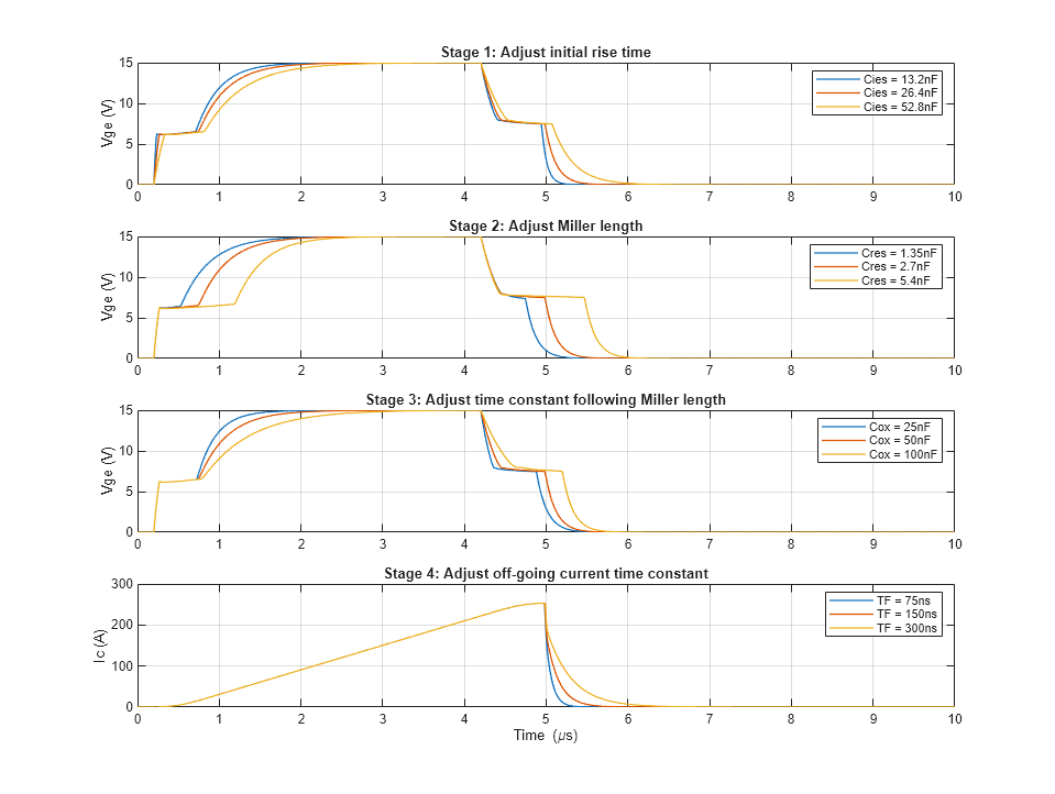
1. Set input capacitance, Cies, to datasheet value, or iterate until Vge has the measured rise time up to the Miller length (flat region of Vge at Vge(th)).
2. Set reverse transfer capacitance, Cres, to datasheet value, or iterate until the Miller length matches the measured value.
3. Iterate on the gate-collector oxide capacitance to achieve the measured Vge time constant following the Miller length.
4. Iterate on the total forward transit time, TF, until the off-going collector current, Ic, shows the measured time constant.
Click on the hyperlink 'Plot time responses' in the model to view time responses as a function of parameter values.
Model

Simulation Results from Simscape Logging
The plots below show the effect of changing IGBT mask parameters Cres, Cox and forward transit time.
