Quantifying IGBT Thermal Losses
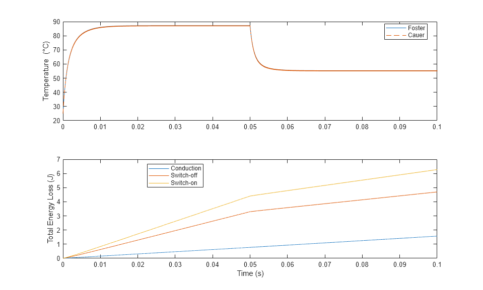
This example shows the generation of a temperature profile based on switching and conduction losses in an insulated-gate bipolar transistor (IGBT). There are two buck converters. For one converter, the IGBT attaches to a Foster thermal model. For the other converter, the IGBT attaches to a Cauer thermal model. The parameters for the thermal models are tuned to give roughly equivalent results. At a simulation time of 50ms, the driving frequency changes from 40kHz to 20kHz, which increases the conduction losses and decreases the switching losses. The change in the losses results in a corresponding change in the temperature of the IGBT.
Model
Both Foster and Cauer thermal networks are connected to a fixed temperature source that represents the heat sink temperature. To obtain meaningful results, you must connect the Foster thermal network to a fixed temperature source. To model a heat sink thermal mass and convection to the environment, you can connect the Cauer model to any other thermal network. In this example the Cauer model is connected to a third first-order thermal network, and the first two thermal states are included in the internal thermal model of the IGBT block. A third-order model is required to match the third-order Foster model implemented. Typically datasheets provide only second-order junction and case dynamics for a Cauer model.

Simulation Results from Simscape Logging
The plot below shows the IGBT temperature and energy loss as functions of time for both the Foster and Cauer thermal models. The power loss is the slope of the energy-loss curve.

Generate a Summary of Losses
The ee_getPowerLossSummary utility function reports losses incurred by the circuit components from logged simulation data. The 'Power' column reports conduction losses, and the SwitchingLosses column reports the semiconductor switching losses.
ans =
12×3 table
LoggingNode Power SwitchingLosses
__________________________________________ ______ _______________
{'IGBTThermal.Buck_circuit_1.Load' } 7453.8 0
{'IGBTThermal.Buck_circuit_2.Load' } 7453.8 0
{'IGBTThermal.IGBT_C' } 15.705 109.64
{'IGBTThermal.IGBT_F' } 15.704 109.69
{'IGBTThermal.Buck_circuit_1.Diode.Diode'} 12.146 0
{'IGBTThermal.Buck_circuit_2.Diode.Diode'} 12.146 0
{'IGBTThermal.Buck_circuit_1.Capacitor' } 0 0
{'IGBTThermal.Buck_circuit_1.Inductor' } 0 0
{'IGBTThermal.Buck_circuit_2.Capacitor' } 0 0
{'IGBTThermal.Buck_circuit_2.Inductor' } 0 0
{'IGBTThermal.Rgate_C' } 0 0
{'IGBTThermal.Rgate_F' } 0 0
See Also
IGBT (Ideal, Switching) | Diode | Cauer Thermal Model | Foster Thermal Model | ee_getPowerLossSummary