Grayscale Dilation
Morphological dilation of grayscale pixel data
Libraries:
Vision HDL Toolbox /
Morphological Operations
Description
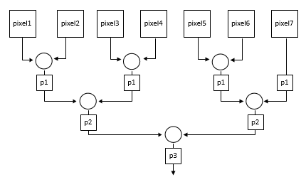
The Grayscale Dilation block performs morphological dilation on a stream of pixel intensity values. You can specify a neighborhood or structuring element of up to 32-by-32 pixels. For line, square, or rectangle structuring elements more than 8 pixels wide, the block uses the Van Herk algorithm to find the maximum pixel value. This algorithm uses only three comparators to find the maximums of all the rows, and then uses a comparison tree to find the maximum pixel value of the row results.
For structuring elements less than 8 pixels wide, or that contain zero elements, the block implements a pipelined comparison tree for each row of the neighborhood. An additional comparison tree finds the maximum pixel value of the row results. If the structuring element contains zeros that exclude pixels, the algorithm saves hardware resources by not implementing comparators for those pixel locations.
The opposite of a dilation operation is erosion. For the erosion operation, see the Grayscale Erosion block. For more information about morphological operations, see Types of Morphological Operations (Image Processing Toolbox).
Ports
This block uses a streaming pixel interface with a bus for
frame control signals. This interface enables the block to operate independently of image size
and format. The pixel ports on this block support single pixel streaming or
multipixel streaming. Single pixel streaming accepts and returns a single pixel value each clock
cycle. Multipixel streaming accepts and returns a vector of M pixels per
clock cycle to support high-frame-rate or high-resolution formats. The M
value corresponds to the Number of pixels parameter of the Frame
To Pixels block. Along with the pixel, the block accepts and returns a
pixelcontrol bus that contains five control signals. The control signals
indicate the validity of each pixel and their location in the frame. For multipixel streaming,
one set of control signals applies to all pixels in the vector. To convert a frame (pixel
matrix) into a serial pixel stream and control signals, use the Frame
To Pixels block. For a full description of the interface, see Streaming Pixel Interface.
Input
Output
Parameters
Tips
When you use a block with an internal line buffer inside an Enabled Subsystem (Simulink), the enable signal pattern must maintain the timing of the pixel stream, including the minimum blanking intervals. If the enable pattern corrupts the timing of the pixel stream, you might see partial output frames, corrupted pixel stream control signals, or mismatches between Simulink® and HDL simulation results. You may need to extend the blanking intervals to accommodate for cycles when the enable is low. For more information, see Configure Blanking Intervals.
Algorithms
Extended Capabilities
Version History
Introduced in R2016aSee Also
Dilation (Computer Vision Toolbox) | Grayscale Erosion | Frame To Pixels | visionhdl.GrayscaleDilation | imdilate (Image Processing Toolbox)
Topics
- Types of Morphological Operations (Image Processing Toolbox)
- Structuring Elements (Image Processing Toolbox)





