pidTuner
Open PID Tuner for PID tuning
Description
pidTuner(
launches PID Tuner with a baseline controller sys,Cbase)Cbase so
that you can compare performance between the designed controller and the
baseline controller. If Cbase is a
pid, pidstd,
pid2 or pidstd2 controller
object, PID Tuner designs a controller of the same form, type, and discrete
integrator formulas as Cbase.
pidTuner( designs a
parallel-form PI controller.sys)
pidTuner launches PID Tuner with default plant of 1 and
proportional (P) controller of 1.
Examples
Input Arguments
Tips
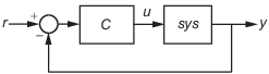
If
typeorCbasespecifies a one-degree-of-freedom (1-DOF) PID controller, thenpidTunerdesigns a controller for the unit feedback loop as illustrated:
If
typeorCbasespecifies a two-degree-of-freedom (2-DOF) PID controller, thenpidTunerdesigns a 2-DOF controller as in the feedback loop of this illustration:
PID Tuner has a default target phase margin of 60 degrees and automatically tunes the PID gains to balance performance (response time) and robustness (stability margins). Use the Response time or Bandwidth and Phase Margin sliders to tune the controller's performance to your requirements. Increasing performance typically decreases robustness, and vice versa.
Select response plots from the Response menu to analyze the controller's performance.
If you provide
Cbase, check Show baseline to display the response of the baseline controller.For more detailed information about using PID Tuner, see Designing PID Controllers with PID Tuner.
For interactive PID tuning in the Live Editor, see the Tune PID Controller Live Editor task. This task lets you interactively design a PID controller and automatically generates MATLAB® code for your live script.
Algorithms
For information about the MathWorks® PID tuning algorithm, see PID Tuning Algorithm.
Alternatives
You can open PID Tuner from the MATLAB desktop, in the Apps tab. When you do so, use the Plant menu in PID Tuner to specify your plant model.
For PID tuning at the command line, use pidtune. The pidtune command
can design a controller for multiple plants at once.
For interactive PID tuning in the Live Editor, see the Tune PID Controller Live Editor task. This task lets you interactively design a PID controller and automatically generates MATLAB code for your live script.
Version History
Introduced in R2014b