Main Content

Analysis of Gain-Scheduled PI Controller

This example analyzes gain-scheduled PI control of a linear parameter-varying system. This example is based on [1] and [2].

The plant G(ρ) is a first-order system with dynamics depending on the parameter ρ.

x˙=-1τ(ρ)x+1τ(ρ)u

y=c(ρ)x

Here:

τ(ρ)=133.6-16.8ρ

c(ρ)=4.8ρ-8.6

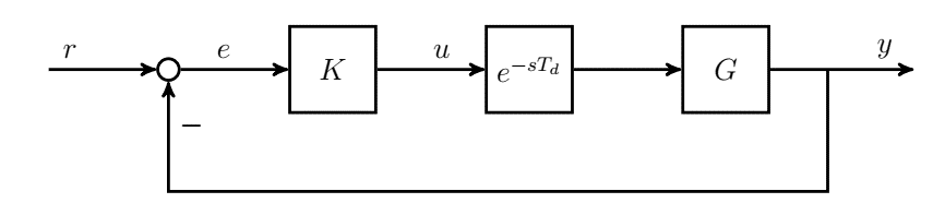
The parameter ρ is restricted to the interval [2,7]. The closed-loop system consists of the plant G(ρ), gain-scheduled PI controller K(ρ), and time delay Td=0.5 sec, as shown in this interconnection figure.

IC.png

LPV Plant

Use lpvss to construct a model of the LPV plant. The function plantFcnGSPI returns the state-space matrices and offsets as a function of time t and parameter rho. To see the code for this function, open the file plantFcnGSPI.m or enter type plantFcnGSPI at the command line.

G = lpvss('rho',@plantFcnGSPI);

Gain-Scheduled PI Controller

The gain-scheduled Proportional-Integral (PI) controller K(ρ) is designed to achieve a closed loop damping ratio ζd=0.7 and natural frequency ωd=0.25 in the domain ρ[2,7]. You can construct this controller in two different forms.

  • Controller K1, with the integral gain at the integrator input.

x˙c=Ki(ρ)e

u=xc+Kp(ρ)e

  • Controller K2, with the integral gain at the integrator output.

x˙c=e

u=Ki(ρ)xc+Kp(ρ)e

These forms are equivalent when ρ and Ki are constant. However, the two forms have different input/output response when the parameter varies in time. This example compares these two options in terms of closed-loop performance.

This example provides the code for these two controllers in the files k1FcnGSPI.m and k2FcnGSPI.m. Use lpvss to construct the two controllers.

K1 = lpvss('rho',@k1FcnGSPI);
K2 = lpvss('rho',@k2FcnGSPI);

Closed-Loop Models

Construct the closed-loop LPV models as shown in the interconnection figure with controllers K1 and K2.

Use a second-order Pade approximation of the delay.

Td = 0.5;
[n,d] = pade(Td,2);
H = tf(n,d);

Construct the closed-loop models.

CL1 = feedback(G*H*K1,1);
CL2 = feedback(G*H*K2,1);

LTI Analysis

Evaluate this closed-loop response for several frozen values of ρ.

Sample the LPV system for three values of rho.

Nvals = 3;
pvals = linspace(2,7,Nvals);
CL1vals = sample(CL1,[],pvals);
CL2vals = sample(CL2,[],pvals);

Plot the Bode response of complementary sensitivity at fixed values of ρ.

bode(CL1vals,'b',CL2vals,'r--',{1e-2,1})

MATLAB figure

As expected, the location of the integral gain does not affect the controller when ρ is constant. Hence, the two closed-loop responses are identical in the LTI cases.

LPV Analysis

Generate closed-loop step responses from r to y along one specific parameter trajectory.

Specify the parameter trajectory.

t = linspace(0,30,1e3);
rho = interp1([0 10 30],[2 7 7],t);
plot(t,rho,'b')
grid on
xlabel('Time (seconds)')
ylabel('\rho')
title('Parameter Trajectory for Step Response')

Figure contains an axes object. The axes object with title Parameter Trajectory for Step Response, xlabel Time (seconds), ylabel rho contains an object of type line.

Plot the step responses.

step(CL1,CL2,t,rho)
grid on
title('Step Responses for Parameter Trajectory');
legend('Ki at input (K1)','Ki at output (K2)','Location','Best');

MATLAB figure

The two closed-loop simulations are different. This indicates that the placement of the integrator in a gain-scheduled control makes a difference when the parameters vary.

Plant and Controller Data Functions

type plantFcnGSPI.m
function [A,B,C,D,E,dx0,x0,u0,y0,Delays] = plantFcnGSPI(t,rho) 
% LPV data for plant
rho = max(2,min(rho,7));  % keep rho in range [2,7]
tau = sqrt(133.6-16.8*rho);
A = -1/tau;
B = 1/tau;
C = sqrt(4.8*rho-8.6);
D = 0;
E = [];

% No offsets or delays
dx0 = [];  x0 = [];  u0 = []; y0 = [];
Delays = [];
end
type k1FcnGSPI.m
function [A,B,C,D,E,dx0,x0,u0,y0,Delays] = k1FcnGSPI(t,rho) 
% LPV data for PI controller K1
tau = sqrt(133.6-16.8*rho);
c = sqrt(4.8*rho-8.6);

% PI Gains
sigma = 0.7;
wcl = 0.25;
Kp = (2*sigma*wcl*tau-1)/c;
Ki = wcl^2*tau/c;

% State-space and offset data: Ki at the input
A = 0;
B = Ki;
C = 1;
D = Kp;
E = [];

% No offsets or delays
dx0 = [];  x0 = [];  u0 = []; y0 = [];
Delays = [];
end
type k2FcnGSPI.m
function [A,B,C,D,E,dx0,x0,u0,y0,Delays] = k2FcnGSPI(t,rho) 
% LPV data for PI controller K2
tau = sqrt(133.6-16.8*rho);
c = sqrt(4.8*rho-8.6);

% PI Gains
sigma = 0.7;
wcl = 0.25;
Kp = (2*sigma*wcl*tau-1)/c;
Ki = wcl^2*tau/c;

% State-space and offset data: Ki at the output
A = 0;
B = 1;
C = Ki;
D = Kp;
E = [];

% No offsets or delays
dx0 = [];  x0 = [];  u0 = []; y0 = []; % no offsets
Delays = [];
end

References

  1. Tan, Shaohua, Chang-Chieh Hang, and Joo-Siong Chai. “Gain Scheduling: From Conventional to Neuro-Fuzzy.” Automatica 33, no. 3 (March 1997): 411–19. https://doi.org/10.1016/S0005-1098(96)00162-8.

  2. Pfifer, Harald, and Peter Seiler. “Robustness Analysis of Linear Parameter Varying Systems Using Integral Quadratic Constraints.” International Journal of Robust and Nonlinear Control 25, no. 15 (October 2015): 2843–64. https://doi.org/10.1002/rnc.3240.

See Also

|

Topics