Estimate the Transfer Function of an Unknown System
You can estimate the transfer function of an unknown system based on the system's measured input and output data.
In DSP System Toolbox™, you can estimate the transfer function of a system using the dsp.TransferFunctionEstimator
System object™ in MATLAB® and the Discrete Transfer Function Estimator block in
Simulink®. The relationship between the input x and output
y is modeled by the linear, time-invariant transfer function
Txy. The transfer function is the
ratio of the cross power spectral density of x and
y, Pyx, to the power
spectral density of x, Pxx:
The dsp.TransferFunctionEstimator object and
Discrete Transfer Function Estimator block use the Welch’s averaged
periodogram method to compute the Pxx and
Pxy. For more details on this method,
see Spectral Analysis.
Coherence
The coherence, or magnitude-squared coherence, between x and y is defined as:
The coherence function estimates the extent to which you can predict y from x. The value of the coherence is in the range 0 ≤ Cxy(f) ≤ 1. If Cxy = 0, the input x and output y are unrelated. A Cxy value greater than 0 and less than 1 indicates one of the following:
Measurements are noisy.
The system is nonlinear.
Output y is a function of x and other inputs.
The coherence of a linear system represents the fractional part of the output signal power that is produced by the input at that frequency. For a particular frequency, 1 – Cxy is an estimate of the fractional power of the output that the input does not contribute to.
When you set the OutputCoherence property of dsp.TransferFunctionEstimator to true,
the object computes the output coherence. In the Discrete Transfer Function
Estimator block, to compute the coherence spectrum, select the
Output magnitude squared coherence estimate check box.
Estimate the Transfer Function in MATLAB
To estimate the transfer function of a system in MATLAB®, use the dsp.TransferFunctionEstimator System object™. The object implements the Welch's average modified periodogram method and uses the measured input and output data for estimation.
Initialize the System
The system is a cascade of two filter stages: dsp.LowpassFilter and a parallel connection of dsp.AllpassFilter and dsp.AllpoleFilter.
allpole = dsp.AllpoleFilter; allpass = dsp.AllpassFilter; lpfilter = dsp.LowpassFilter;
Specify Signal Source
The input to the system is a sine wave with a frequency of 100 Hz. The sampling frequency is 44.1 kHz.
sine = dsp.SineWave(Frequency=100,SampleRate=44100,...
SamplesPerFrame=1024);
Create Transfer Function Estimator
To estimate the transfer function of the system, create the dsp.TransferFunctionEstimator System object.
tfe = dsp.TransferFunctionEstimator(FrequencyRange='onesided',... OutputCoherence=true);
Create Array Plot
Initialize a dsp.ArrayPlot object. Configure the scope to show two displays by setting NumInputPorts to 2 and LayoutDimensions to [1 2]. The first display shows the magnitude response of the system and the second display shows the coherence estimate between the input and the output of the system.
By default, the x-axis of the array plot is in samples. To convert this axis into frequency, set the SampleIncrement property of the dsp.ArrayPlot object to Fs/1024. In this example, this value is 44100/1024, or 43.0664. For a two-sided spectrum, the XOffset property of the dsp.ArrayPlot object must be [-Fs/2]. The frequency varies in the range [-Fs/2 Fs/2]. In this example, the array plot shows a one-sided spectrum. Hence, set the XOffset to 0. The frequency varies in the range [0 Fs/2].
plotter = dsp.ArrayPlot(PlotType='Line',... XOffset=0,... SampleIncrement=44100/1024,... NumInputPorts=2); plotter.LayoutDimensions = [1 2]; plotter.ActiveDisplay = 1; plotter.XLabel='Frequency (Hz)'; plotter.YLabel = 'Magnitude Response (dB)'; plotter.YLimits = [-120 20]; plotter.Title = 'System Transfer Function'; plotter.ActiveDisplay = 2; plotter.XLabel='Frequency (Hz)'; plotter.YLabel = 'Coherence'; plotter.YLimits = [0 1.2]; plotter.Title = 'Coherence Estimate';
Estimate the Transfer Function
The transfer function estimator accepts two signals: input to the two-stage filter and output of the two-stage filter. The input to the filter is a sine wave containing additive white Gaussian noise. The noise has a mean of zero and a standard deviation of 0.1. The estimator estimates the transfer function of the two-stage filter. The output of the estimator is the frequency response of the filter, which is complex. To extract the magnitude portion of this complex estimate, use the abs function. To convert the result into dB, apply a conversion factor of 20*log10(magnitude).
for Iter = 1:1000 input = sine() + .1*randn(1024,1); lpfout = lpfilter(input); allpoleout = allpole(lpfout); allpassout = allpass(lpfout); output = allpoleout + allpassout; [tfeoutput,outputcoh] = tfe(input,output); plotter(20*log10(abs(tfeoutput)),outputcoh) end

The first plot shows the magnitude response of the system. The second plot shows the coherence estimate between the input and output of the system. Coherence in the plot varies in the range [0 1] as expected.
Magnitude Response of the Filter Using freqz
The filter is a cascade of two filter stages - dsp.LowpassFilter and a parallel connection of dsp.AllpassFilter and dsp.AllpoleFilter. All the filter objects are used in their default state. Using the filter coefficients, derive the system transfer function and plot the frequency response using freqz. Below are the coefficients in the [Num] [Den] format:
All pole filter - [1 0] [1 0.1]
All pass filter - [0.5 -1/sqrt(2) 1] [1 -1/sqrt(2) 0.5]
Lowpass filter - Determine the coefficients using the following commands:
lpf = dsp.LowpassFilter; Coefficients = coeffs(lpf);
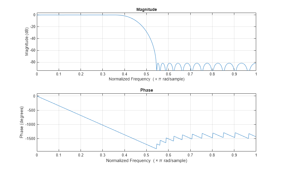
Coefficients.Numerator gives the coefficients in an array format. The mathematical derivation of the overall system transfer function is not shown here. Once you derive the transfer function, run freqz and you can see the frequency response below:
freqz(Coefficients.Numerator)

The magnitude response that freqz shows matches the magnitude response that the dsp.TransferFunctionEstimator object estimates.
Estimate Transfer Function in Simulink
To estimate the transfer function of a system in Simulink®, use the Discrete Transfer Function Estimator block. The block implements the Welch's average modified periodogram method and uses the measured input and output data for estimation.
The system is a cascade of two filter stages: a lowpass filter and a parallel connection of an allpole filter and allpass filter. The input to the system is a sine wave containing additive white Gaussian noise. The noise has a mean of zero and a standard deviation of 0.1. The input to the estimator is the system input and the system output. The output of the estimator is the frequency response of the system, which is complex. To extract the magnitude portion of this complex estimate, use the Abs block. To convert the result into dB, the system uses a dB (1 ohm) block.
Open and Inspect the Model
Open the ex_transfer_function_estimator model. The input is a noisy sinusoidal signal with a frequency of 100 Hz. The input noise is white Gaussian with a mean of 0 and a variance of 0.01. The Discrete Transfer Function Estimator block estimates the transfer function of the filter from the data input and the filtered output. The first display in the Array Plot block shows the magnitude response of the system and the second display in the Array Plot block shows the coherence estimate.
By default, the x -axis of the array plot is in samples. To convert this axis into frequency, the Sample Increment parameter is set to Fs/1024. In this example, this value is 44100/1024, or 43.0664. For a two-sided spectrum, the X-Offset parameter must be -Fs/2. The frequency varies in the range [-Fs/2 Fs/2]. In this example, the array plot shows a one-sided spectrum. Hence, the X-Offset is set to 0. The frequency varies in the range [0 Fs/2].
Run the Model
Run the model. The first display shows the magnitude response of the system. The second display shows the coherence estimate between the input and output of the system. Coherence in the plot varies in the range [0 1] as expected.

