clim
Set colormap limits (Renamed from caxis in R2022a)
Description
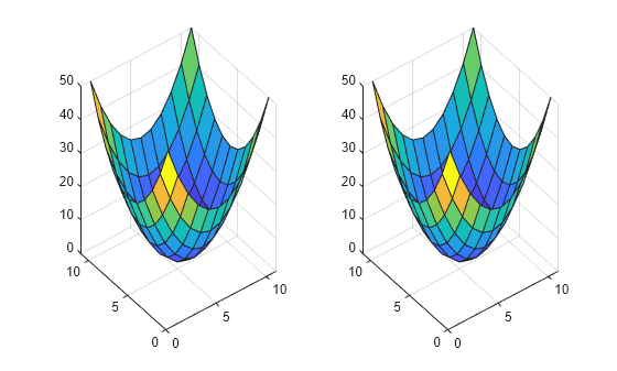
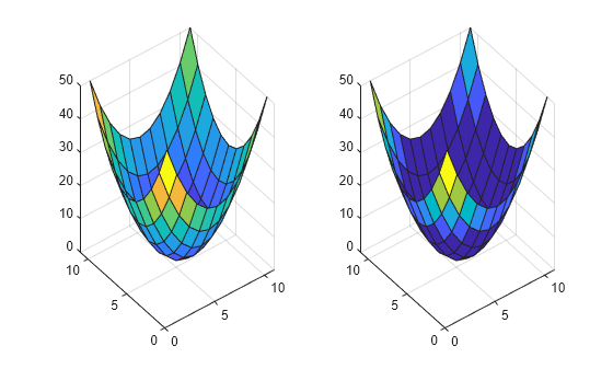
clim( sets the colormap limits for the
current axes. limits)limits is a two-element vector of the form [cmin
cmax]. All values in the colormap
indexing array that are less than or equal to cmin map to the
first row in the colormap. All values that are greater than or equal to
cmax map to the last row in the colormap. All values between
cmin and cmax map linearly to the intermediate rows
of the colormap.
Note
The clim function only affects graphics objects that have the
CDataMapping property set to "scaled". It does
not affect graphics objects that use truecolor or have the
CDataMapping set to "direct".
clim("auto") enables automatic limit updates when values in the
colormap indexing array change. This is the default behavior. The clim
auto command is an alternative form of this syntax.
clim("manual") disables automatic limit updates. The clim
manual command is an alternative form of this syntax.
clim( sets the colormap
limits for a specific axes or standalone visualization. Specify target,___)target
as the first input argument in any of the previous syntaxes.
lims = clim returns the current colormap limits as a vector of the
form [cmin cmax].





