umargin
Model gain and phase uncertainty
Description
Use the umargin control design block to model gain and phase
variations in feedback loops. Modeling gain and phase variations in your system lets you
verify stability margins during robustness analysis or enforce them during robust controller
design.
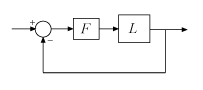
To add gain and phase uncertainty to a feedback loop, you incorporate
umargin blocks into an uncertain state-space (uss) model
of the closed-loop system. umargin is a SISO control design block,
representing gain and phase variation at a single location in a single feedback loop. To model
gain and phase uncertainty in MIMO feedback systems, insert a separate
umargin object at each location in the system at which you want to
introduce gain and phase uncertainty.
umargin models gain and phase variations as a factor F
multiplying the open-loop response L. This factor takes values in a disk
centered on the real axis and containing F = 1. You specify this disk by
its intersection DGM = [gmin,gmax] with the real axis, which represents the
relative amount of gain variation around the nominal value F = 1. To
specify both gain and phase uncertainty, first use getDGM to obtain
a DGM value that describes a disk that captures both your specified gain
and phase ranges. For more information about the disk-based uncertainty model, see Algorithms.
When you have a uss model containing umargin control
design blocks, you can perform robustness and worst-case analysis to examine how gain and
phase variation affects the response of the system. For instance, use robstab and robgain to analyze the robust stability and
robust performance of a system with gain and phase uncertainty. Use wcgain and wcsigmaplot to
examine the worst-case responses of the system.
Requiring robust stability for a closed-loop system with umargin gain and
phase uncertainty is equivalent to enforcing a disk-based gain margin
[gmin,gmax] and corresponding phase margin. Therefore, you can use
umargin blocks to enforce suitable disk margins when designing robust
controllers with musyn.
Creation
Description
models relative gain uncertainty in the range F = umargin(name,DGM)DGM = [gmin,gmax] with
gmin < 1 and gmax > 1. The gain modeled by
F varies in this range for phase held at its nominal value. When
you have both gain and phase uncertainty, use getDGM to
find the corresponding DGM. This syntax also sets the
Name property of F.
is the same as F = umargin(name,GM)umargin(name,[1/GM,GM]). This syntax specifies a gain
that can increase or decrease by a factor GM in the absence of phase
uncertainty. The corresponding amount of phase uncertainty is determined by the disk-based
uncertainty model that umargin uses (see Algorithms).
sets additional properties of
F = umargin(___,Name,Value)F using name-value pairs. For example, F =
umargin('F',[0.8,1.4],'InputName','u0','OutputName','u') creates a
umargin block and sets the input and output names for use with
connect. Enclose each property name in quotes.
Input Arguments
Properties
Object Functions
Many functions that work on numeric LTI models also work on uncertain control design
blocks such as umargin. These include model interconnection functions such as
connect and feedback, and linear analysis
functions such as bode and stepinfo. Some functions
that generate plots, such as bode and step, plot
random samples of the uncertain model to give you a sense of the distribution of uncertain
dynamics. When you use these commands to return data, however, they operate on the nominal
value of the system only. The following lists contain a representative subset of the functions
you can use with umargin models.
Examples
Algorithms
umargin models gain and phase variations in an individual feedback channel as
a frequency-dependent multiplicative factor F(s)
multiplying the nominal open-loop response L(s), such
that the perturbed response is
L(s)F(s).
The factor F(s) is parameterized by:
In this model,
δ(s) is a gain-bounded dynamic uncertainty, normalized so that it always varies within the unit disk (||δ||∞ < 1).
ɑ sets the amount of gain and phase variation modeled by F. For fixed σ, the parameter ɑ controls the size of the disk. For ɑ = 0, the multiplicative factor is 1, corresponding to the nominal L.
σ, called the skew, biases the modeled uncertainty toward gain increase or gain decrease.
The factor F takes values in a disk centered on the real axis and
containing the nominal value F = 1. The disk is characterized by its
intercept DGM = [gmin,gmax] with the real axis. gmin
< 1 and gmin > 1 are the minimum and maximum relative changes in gain
modeled by F, at nominal phase. The phase uncertainty modeled by
F is the range DPM = [pmin,pmax] of phase values
at the nominal gain (|F| = 1). For instance, in the following plot, the
right side shows the disk F that intersects the real axis in the interval
[0.71,1.4]. The left side shows that this disk models a gain variation of ±3 dB and a phase
variation of ±19°.
F = umargin('F',1.4125)
plot(F)
When you create a umargin block, you specify the amount of uncertainty by
specifying DGM. Use getDGM to
translate specific amounts of gain and phase variations in to a suitable
DGM range that captures these variations. For more information about
the uncertainty model used by umargin, see Stability Analysis Using Disk Margins.








