Inverted Pendulum with Animation
This example shows how to use Simulink® to model and animate an inverted pendulum system. An inverted pendulum has its center of mass above its pivot point. To stably maintain this position, the system implements control logic to move the pivot point below the center-of mass as the pendulum starts to fall. The inverted pendulum is a classic dynamics problem used to test control strategies.

System
In this example, the system consists of an inverted pendulum mounted to a mobile cart. The model constrains the motion to the vertical plane. To maintain the system stability, the model implements state feedback control to track the cart position. For an explanation of how the equations are derived and implemented in Simulink, see Derive Equations of Motion and Simulate Cart-Pole System (Symbolic Math Toolbox).

Inverted Pendulum Dynamics
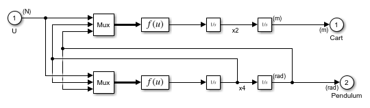
The model uses a masked subsystem to implement the inverted pendulum nonlinear system dynamics. The subsystem determines the cart position along the x-axis and the pendulum rotation about the pivot point.

State Feedback Control
The model implements state feedback control to track the position of the cart and maintain the pivot point below the pendulum center of mass. The Kalman filter is used to estimate the internal states of the system.
Animation and Analysis
The model uses a Level-2 MATLAB S-Function block to implement the animation. The S-function uses MATLAB® Handle Graphics®. To view the S-function, open pendan.m. In the Pendulum Animation window, use the slider bar to move the pendulum pivot point on the cart. To maintain the system stability, the model implements observer-based state feedback control. The below figure illustrates the time-domain response of the inverted pendulum system. The first subplot shows the reference position compared to the actual cart position, highlighting the tracking performance over time. The second subplot depicts the angular displacement of the pendulum in radians, indicating how the pendulum angle evolves during the control process. You can also use the Simulation Data Inspector to investigate the logged signals.


See Also
Level-2 MATLAB S-Function | Discrete PID Controller | Signal Generator
Topics
- Add App Designer App to Inverted Pendulum Model (Simulink Real-Time)
- Derive Equations of Motion and Simulate Cart-Pole System (Symbolic Math Toolbox)
- Control of Inverted Pendulum on Cart (Control System Toolbox)
- Inverted Pendulum Controller Tuning (Simulink Design Optimization)
- Masking Fundamentals
- Save Signal Data Using Signal Logging
- Unit Specification in Simulink Models