dbaux
Daubechies wavelet filter computation
Description
The dbaux function generates the scaling filter coefficients for
the "extremal phase" Daubechies wavelets.
is the order
W = dbaux(N)N Daubechies scaling filter such that sum(W) =
1.
Note
Instability may occur when
Nis too large. Starting with values ofNin the 30s range, function output will no longer accurately represent scaling filter coefficients.For
N= 1, 2, and 3, the orderNSymlet filters and orderNDaubechies filters are identical. See Extremal Phase Wavelet.
Examples
Input Arguments
Output Arguments
Limitations
The computation of the
dbNDaubechies scaling filter requires the extraction of the roots of a polynomial of order4N. Instability may occur beginning with values ofNin the 30s.
More About
Algorithms
The algorithm used is based on a result obtained by Shensa [3], showing a correspondence between the “Lagrange à trous” filters and the convolutional squares of the Daubechies wavelet filters.
The computation of the order N Daubechies scaling filter w proceeds in two steps: compute a “Lagrange à trous” filter P, and extract a square root. More precisely:
P the associated “Lagrange à trous” filter is a symmetric filter of length 4N-1. P is defined by
P = [a(N) 0 a(N-1) 0 ... 0 a(1) 1 a(1) 0 a(2) 0 ... 0 a(N)]
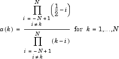
where

Then, if w denotes dbN Daubechies scaling filter of sum
, w is a square root of P: P =
conv(wrev(w),w) where w is a filter of length 2N.The corresponding polynomial has N zeros located at −1 and N−1 zeros less than 1 in modulus.
Note that other methods can be used; see various solutions of the spectral factorization problem in Strang-Nguyen [4] (p. 157).
References
[1] Daubechies, I. Ten Lectures on Wavelets, CBMS-NSF Regional Conference Series in Applied Mathematics. Philadelphia, PA: SIAM Ed, 1992.
[2] Oppenheim, Alan V., and Ronald W. Schafer. Discrete-Time Signal Processing. Englewood Cliffs, NJ: Prentice Hall, 1989.
[3] Shensa, M.J. (1992), “The discrete wavelet transform: wedding the a trous and Mallat Algorithms,” IEEE Trans. on Signal Processing, vol. 40, 10, pp. 2464-2482.
[4] Strang, G., and T. Nguyen.Wavelets and Filter Banks. Wellesley, MA: Wellesley-Cambridge Press, 1996.
Version History
Introduced before R2006a



