Hardware Support

NI USRP Radio Support from Wireless Testbench

Use USRP N3xx, X3xx, and X4xx radios to test wideband wireless systems and add custom IP blocks on their FPGA

Capabilities and Features

Wireless Testbench™ Support Package for NI™ USRP™ radios offers seamless integration and configuration of NI USRP radios within the Wireless Testbench environment. This package includes a dedicated USRP hardware driver (UHD) and pre-configured FPGA bitstreams.

This support package with NI USRP hardware empowers users to perform signal transmission and reception. It facilitates spectrum monitoring and the testing of wideband wireless systems. Additionally, high-rate signal capture enables the training of deep-learning models for wireless applications.

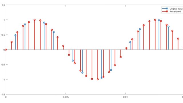
You can set waveform-specific characteristics in hardware to trigger the capture of data of interest for post-processing and analysis in MATLAB. You can work with standards-based signals like 5G, WLAN, and DVB-S2 at their native rates and custom signals at desired rates with hardware-accelerated resampling

The support package enables you to integrate custom IP blocks such as filters, synchronizers, and more into the signal processing chain on the USRP FPGA (with HDL Coder).

Learn about support for USRP N2xx and B2xx devices.  

Learn about support for the USRP E310 device.

Platform and Release Support

See the hardware support package system requirements table for current and prior version, release, and platform availability.

View enhancements and bug fixes in release notes.