Perform Hybrid Optimization Using sbiofit
This example shows how to configure sbiofit to perform a hybrid optimization by first running the global solver particleswarm, followed by another minimization function, fmincon.
Load Data
Load the sample data to fit. The data is stored as a table with variables ID, Time, CentralConc, and PeripheralConc. This synthetic data represents the time course of plasma concentrations measured at eight different time points for both central and peripheral compartments after an infusion dose for three individuals. The dose amount is 100 milligram and dose rate is 50 milligram/hour.
load('data10_32R.mat') gData = groupedData(data); gData.Properties.VariableUnits = {'','hour','milligram/liter','milligram/liter'}; sbiotrellis(gData,'ID','Time',{'CentralConc','PeripheralConc'},'Marker','+',... 'LineStyle','none');

Create Model
Create a two-compartment model with an infusion dose.
pkmd = PKModelDesign; pkc1 = addCompartment(pkmd,'Central'); pkc1.DosingType = 'Infusion'; pkc1.EliminationType = 'linear-clearance'; pkc1.HasResponseVariable = true; pkc2 = addCompartment(pkmd,'Peripheral'); model = construct(pkmd); configset = getconfigset(model); configset.CompileOptions.UnitConversion = true; dose = sbiodose('dose','TargetName','Drug_Central'); dose.StartTime = 0; dose.Amount = 100; dose.Rate = 50; dose.AmountUnits = 'milligram'; dose.TimeUnits = 'hour'; dose.RateUnits = 'milligram/hour'; responseMap = {'Drug_Central = CentralConc','Drug_Peripheral = PeripheralConc'};
Define Parameters to Estimate
Use the estimatedInfo object to define the estimated parameters.
paramsToEstimate = {'log(Central)','log(Peripheral)','Q12','Cl_Central'};
estimatedParam = estimatedInfo(paramsToEstimate,'InitialValue',[1 1 1 1],...
'Bounds',[0 10]);Define the Options for Hybrid Optimization
Define the options for the global solver and the hybrid solver. Because the parameters are bounded, make sure you use a compatible hybrid function for a constrained optimization, such as fmincon. Use optimset to define the options for fminsearch. Use optimoptions to define the options for fminunc, patternsearch, and fmincon.
rng('default'); globalMethod = 'particleswarm'; options = optimoptions(globalMethod); hybridMethod = 'fmincon'; hybridopts = optimoptions(hybridMethod,'Display','none'); options = optimoptions(options,'HybridFcn',{hybridMethod,hybridopts});
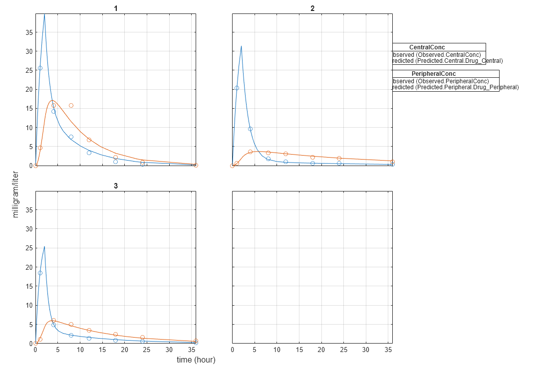
Fit Data
Estimate model parameters. Turn on ProgressPlot to see the live feedback on the status of fitting. The first row of plots are the quality measure plots for the global solver. The second row plots are for the hybrid function. For details, see Progress Plot.
unpooledFit = sbiofit(model,gData,responseMap,estimatedParam,dose,globalMethod,... options,'Pooled',false,'ProgressPlot',true);

Plot Results
plot(unpooledFit);
