need help creating a code
Show older comments
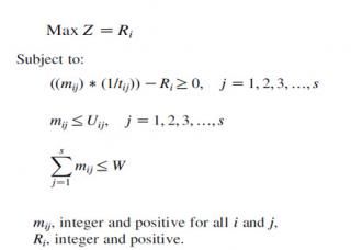
I need to create a code for the following problem in the link. pls help me.. i have to do it by four days..

Take values as i=1 to 3; s=4; tij is (3x4 matrix)= 2 4 6 8; 1 3 5 7; 1 2 3 4; Uij=W=30;
10 Comments
Wayne King
on 31 Mar 2013
You should show the code you have written to try and solve your problem along with the places you are getting stuck and the error messages you are getting.
Nirmal
on 1 Apr 2013
Walter Roberson
on 1 Apr 2013
What is given and what is to be found? Are t and U and W constrained ? is s given? What is the maximum i value?
Nirmal
on 1 Apr 2013
Image Analyst
on 1 Apr 2013
What is Z?
Walter Roberson
on 1 Apr 2013
My interpretation was that Z is the maximum over Ri.
Nirmal
on 1 Apr 2013
Nirmal
on 1 Apr 2013
Image Analyst
on 1 Apr 2013
Oh, okay. I was thinking it was something (some other equation, or expression) that needed to be maximized. So you're saying it's like this: Z = (the maximum R(i) value over all possible index values for i) - basically Z is the desired answer, and once you know that you should know what values of i, j, m, t, U, and W gave rise to that Z.
Nirmal
on 1 Apr 2013
Accepted Answer
More Answers (1)
Categories
Find more on Linear Programming and Mixed-Integer Linear Programming in Help Center and File Exchange
Community Treasure Hunt
Find the treasures in MATLAB Central and discover how the community can help you!
Start Hunting!